当期目录
2025年 第51卷 第10期
2025, 51(10): 2135-2146.
doi: 10.16383/j.aas.c250176
cstr: 32138.14.j.aas.c250176
摘要:
发展航班化航天运输系统已成为提升航天运输能力的重要途径, 智能技术将为航班化航天运输系统建设发挥重要赋能作用. 通过梳理航天运输系统的发展现状与趋势, 分析智能化时代下的航班化航天运输形态, 形成智能赋能航天运载器、智能赋能运营管理体系、智能赋能研发保障生态三方面智能应用需求, 结合国内外研究进展提出对航班化航天运输系统智能赋能路径方法的发展思考, 最后总结并展望智能赋能航班化航天运输系统的发展方向.
发展航班化航天运输系统已成为提升航天运输能力的重要途径, 智能技术将为航班化航天运输系统建设发挥重要赋能作用. 通过梳理航天运输系统的发展现状与趋势, 分析智能化时代下的航班化航天运输形态, 形成智能赋能航天运载器、智能赋能运营管理体系、智能赋能研发保障生态三方面智能应用需求, 结合国内外研究进展提出对航班化航天运输系统智能赋能路径方法的发展思考, 最后总结并展望智能赋能航班化航天运输系统的发展方向.
2025, 51(10): 2147-2162.
doi: 10.16383/j.aas.c250157
cstr: 32138.14.j.aas.c250157
摘要:
面对复杂系统装配对高精度、高时效协同的迫切需求, 飞机总装制造亟需构建具备感知−传输−控制一体化能力的现场级工业网络系统. 为此, 本文率先建立现场级网络控制系统容量模型, 提出双向融合−协同管控的工业互联网新型架构. 围绕感知、传输、计算与控制的全链条任务闭环, 系统构建多维时效性综合评价指标体系, 深入探索多域异构资源的联合调度与协同优化机制. 最后, 面向飞机总装过程中活动面动态测量与多工序协同优化, 设计并实现高保真数字孪生验证平台, 有效支撑了理论模型、控制策略与实际部署之间的闭环映射.
面对复杂系统装配对高精度、高时效协同的迫切需求, 飞机总装制造亟需构建具备感知−传输−控制一体化能力的现场级工业网络系统. 为此, 本文率先建立现场级网络控制系统容量模型, 提出双向融合−协同管控的工业互联网新型架构. 围绕感知、传输、计算与控制的全链条任务闭环, 系统构建多维时效性综合评价指标体系, 深入探索多域异构资源的联合调度与协同优化机制. 最后, 面向飞机总装过程中活动面动态测量与多工序协同优化, 设计并实现高保真数字孪生验证平台, 有效支撑了理论模型、控制策略与实际部署之间的闭环映射.
2025, 51(10): 2163-2177.
doi: 10.16383/j.aas.c250272
cstr: 32138.14.j.aas.c250272
摘要:
流程工业是现代制造体系的重要组成部分, 其生产过程的优化决策直接关系到企业的经济效益与资源利用效率. 随着生产规模扩大与系统复杂性提升, 传统依赖机理建模或启发式规则的优化方法在应对高维耦合、非线性及不确定性等工业特性时逐渐显现出局限性. 强化学习因其无需依赖过程模型, 具备高效决策、自适应调整和应对不确定性的能力, 有望解决上述问题, 成为流程工业智能决策研究的重要方向. 然而, 流程工业中强化学习的落地应用仍面临诸多挑战, 如状态−动作空间维度庞大、结构多样, 过程约束复杂, 工况非平稳性强. 本文系统梳理强化学习在流程工业中的应用现状与关键技术, 重点讨论其在复杂决策空间、约束处理、大规模系统及不确定性环境中的算法演进与应用探索, 最后展望未来的发展趋势与潜在研究方向, 为复杂工业系统的智能优化提供理论基础与方法支撑.
流程工业是现代制造体系的重要组成部分, 其生产过程的优化决策直接关系到企业的经济效益与资源利用效率. 随着生产规模扩大与系统复杂性提升, 传统依赖机理建模或启发式规则的优化方法在应对高维耦合、非线性及不确定性等工业特性时逐渐显现出局限性. 强化学习因其无需依赖过程模型, 具备高效决策、自适应调整和应对不确定性的能力, 有望解决上述问题, 成为流程工业智能决策研究的重要方向. 然而, 流程工业中强化学习的落地应用仍面临诸多挑战, 如状态−动作空间维度庞大、结构多样, 过程约束复杂, 工况非平稳性强. 本文系统梳理强化学习在流程工业中的应用现状与关键技术, 重点讨论其在复杂决策空间、约束处理、大规模系统及不确定性环境中的算法演进与应用探索, 最后展望未来的发展趋势与潜在研究方向, 为复杂工业系统的智能优化提供理论基础与方法支撑.
2025, 51(10): 2178-2200.
doi: 10.16383/j.aas.c250082
cstr: 32138.14.j.aas.c250082
摘要:
控制系统隐私保护是随着数字化、信息化和智能化的发展而诞生的新兴方向, 具有广泛的实际需求与应用价值, 是现代控制理论在新时代的重要发展. 鉴于此, 本综述从研究背景与意义、国内外现状、未来研究方向及总结与展望四个方面, 对该方向进行系统梳理. 控制系统隐私问题无处不在, 隐私保护对控制系统至关重要. 由于该方向具有交叉性、不确定性、实时性和应用性等特点, 其研究具有挑战性. 在国内外研究现状部分, 详细介绍基于系统结构的方法、基于确定性变换的方法和基于随机混淆或扰动的方法, 并着重阐述同态加密、安全多方计算、差分隐私等常见技术的理论基础及在控制系统中的应用. 针对面临的诸多挑战性问题, 总结未来重点研究方向, 尤其是隐私、控制与通信的一体化设计, 以及隐私保护与系统性能之间的权衡. 最后, 对该方向进行总结与展望, 旨在为相关研究人员提供参考, 进一步推动国家安全战略的实施.
控制系统隐私保护是随着数字化、信息化和智能化的发展而诞生的新兴方向, 具有广泛的实际需求与应用价值, 是现代控制理论在新时代的重要发展. 鉴于此, 本综述从研究背景与意义、国内外现状、未来研究方向及总结与展望四个方面, 对该方向进行系统梳理. 控制系统隐私问题无处不在, 隐私保护对控制系统至关重要. 由于该方向具有交叉性、不确定性、实时性和应用性等特点, 其研究具有挑战性. 在国内外研究现状部分, 详细介绍基于系统结构的方法、基于确定性变换的方法和基于随机混淆或扰动的方法, 并着重阐述同态加密、安全多方计算、差分隐私等常见技术的理论基础及在控制系统中的应用. 针对面临的诸多挑战性问题, 总结未来重点研究方向, 尤其是隐私、控制与通信的一体化设计, 以及隐私保护与系统性能之间的权衡. 最后, 对该方向进行总结与展望, 旨在为相关研究人员提供参考, 进一步推动国家安全战略的实施.
2025, 51(10): 2201-2210.
doi: 10.16383/j.aas.c250211
cstr: 32138.14.j.aas.c250211
摘要:
抗干扰是控制科学和智能科学的基本主题之一. 长期以来, 干扰不变性被视为抗干扰控制方法的一个设计准则. 然而, 干扰不变性设计带来的控制代价易被忽视, 且往往不满足执行机构和信息拓扑等系统软硬件限制. 本文在干扰不变性准则的基础上, 提出干扰适应可变性准则和设计思想. 主要实现途径包括: 干扰深耦合建模、干扰可抗/可用度量化、复合抗干扰控制、干扰主动和精细利用、基于抗扰能力量化的系统重构优化等. 在此基础上, 进一步提出系统进化设计、进化智能和智能系统工程的思想, 从“任务目标−干扰因素−系统资源”一体化的角度提高动态适配性, 实现闭环系统的行为进化和形态进化. 干扰适应可变性准则突破了传统干扰不变性准则的藩篱, 实现了从“抗干扰”到“识干扰”、“用干扰”的干扰精细控制理论跨越, 为精细抗干扰控制理论和智能系统工程实践提供了新的理论支撑、研究视角和技术途径.
抗干扰是控制科学和智能科学的基本主题之一. 长期以来, 干扰不变性被视为抗干扰控制方法的一个设计准则. 然而, 干扰不变性设计带来的控制代价易被忽视, 且往往不满足执行机构和信息拓扑等系统软硬件限制. 本文在干扰不变性准则的基础上, 提出干扰适应可变性准则和设计思想. 主要实现途径包括: 干扰深耦合建模、干扰可抗/可用度量化、复合抗干扰控制、干扰主动和精细利用、基于抗扰能力量化的系统重构优化等. 在此基础上, 进一步提出系统进化设计、进化智能和智能系统工程的思想, 从“任务目标−干扰因素−系统资源”一体化的角度提高动态适配性, 实现闭环系统的行为进化和形态进化. 干扰适应可变性准则突破了传统干扰不变性准则的藩篱, 实现了从“抗干扰”到“识干扰”、“用干扰”的干扰精细控制理论跨越, 为精细抗干扰控制理论和智能系统工程实践提供了新的理论支撑、研究视角和技术途径.
2025, 51(10): 2211-2231.
doi: 10.16383/j.aas.c250223
cstr: 32138.14.j.aas.c250223
摘要:
由无人车、无人机等构成的无人集群系统在军民领域有着广泛应用. 任务规划作为集群的决策中枢, 面临时序冲突协调、大规模异构协同以及动态环境适应等多重挑战. 传统的混合整数优化方法在表达灵活性和实时求解方面存在明显不足, 而基于机器学习的规划方法则在可解释性与扩展性上存在固有局限. 近年来, 以线性时序逻辑和信号时序逻辑为代表的形式逻辑方法, 凭借任务描述准确完备、逻辑推理严谨和可解释性强等优势, 已成为集群任务建模与规划的重要手段. 本文系统回顾了基于形式逻辑的集群任务规划研究进展, 围绕基本语法语义、规划架构范式以及大规模和动态不确定环境下的适应机制等方面展开全面分析. 同时, 探讨大语言模型在自然语言任务理解、形式化任务建模及任务规划中的应用潜力. 最后, 展望非完备环境下的持续规划、集群任务与运动的联合规划以及形式逻辑与大语言模型融合的闭环规划等未来研究方向.
由无人车、无人机等构成的无人集群系统在军民领域有着广泛应用. 任务规划作为集群的决策中枢, 面临时序冲突协调、大规模异构协同以及动态环境适应等多重挑战. 传统的混合整数优化方法在表达灵活性和实时求解方面存在明显不足, 而基于机器学习的规划方法则在可解释性与扩展性上存在固有局限. 近年来, 以线性时序逻辑和信号时序逻辑为代表的形式逻辑方法, 凭借任务描述准确完备、逻辑推理严谨和可解释性强等优势, 已成为集群任务建模与规划的重要手段. 本文系统回顾了基于形式逻辑的集群任务规划研究进展, 围绕基本语法语义、规划架构范式以及大规模和动态不确定环境下的适应机制等方面展开全面分析. 同时, 探讨大语言模型在自然语言任务理解、形式化任务建模及任务规划中的应用潜力. 最后, 展望非完备环境下的持续规划、集群任务与运动的联合规划以及形式逻辑与大语言模型融合的闭环规划等未来研究方向.
2025, 51(10): 2232-2244.
doi: 10.16383/j.aas.c250274
cstr: 32138.14.j.aas.c250274
摘要:
针对可编程逻辑控制器(PLC)和虚拟PLC的PID难以优化整定的难题, 将建模、控制、优化和深度学习与强化学习相结合, 提出无模型PID在线自优化整定算法. 将工业云及边缘计算、软件定义实时及可靠保障机制的双通道通信架构与所提出的PID整定算法相结合, 提出云端协同的软件定义智能控制系统. 云为基于云服务器的智能控制软件开发平台;端为基于工业服务器的智能控制软件. 智能控制软件包括虚拟PLC PID、PID预优化整定和控制过程数字孪生以及在线自优化整定、自适应切换机制. 采用研制的软件定义智能控制系统研究实验平台, 进行所提出的控制系统与国外先进PLC和工业PC的无模型整定软件PID控制系统的仿真与物理对比实验. 实验结果表明本文的软件定义智能控制系统可进行控制器参数自优化整定, 控制性能显著优于国外无模型整定软件的PID控制系统.
针对可编程逻辑控制器(PLC)和虚拟PLC的PID难以优化整定的难题, 将建模、控制、优化和深度学习与强化学习相结合, 提出无模型PID在线自优化整定算法. 将工业云及边缘计算、软件定义实时及可靠保障机制的双通道通信架构与所提出的PID整定算法相结合, 提出云端协同的软件定义智能控制系统. 云为基于云服务器的智能控制软件开发平台;端为基于工业服务器的智能控制软件. 智能控制软件包括虚拟PLC PID、PID预优化整定和控制过程数字孪生以及在线自优化整定、自适应切换机制. 采用研制的软件定义智能控制系统研究实验平台, 进行所提出的控制系统与国外先进PLC和工业PC的无模型整定软件PID控制系统的仿真与物理对比实验. 实验结果表明本文的软件定义智能控制系统可进行控制器参数自优化整定, 控制性能显著优于国外无模型整定软件的PID控制系统.
2025, 51(10): 2245-2255.
doi: 10.16383/j.aas.c250156
cstr: 32138.14.j.aas.c250156
摘要:
针对一类未知动力学马尔科夫随机系统的最优控制问题, 提出两种无模型策略梯度强化学习算法. 首先, 针对模型信息部分未知的马尔科夫随机系统, 基于系统采样数据和耦合李雅普诺夫方程推导出无模型策略梯度的解析形式, 并提出一种部分无模型策略梯度强化学习最优控制算法, 实现对预设性能指标的直接最小化. 由于求解耦合李雅普诺夫方程和计算策略梯度的必要数据均可从系统采样数据同一轨迹提取, 而无需再额外收集采样数据, 降低了算法的采样复杂度. 进一步地, 为完全解除对马尔科夫随机系统模型信息的依赖, 通过随机摄动反馈增益估计策略梯度, 并提出一种完全无模型策略梯度强化学习算法, 实现了马尔科夫随机系统动力学完全未知情况下的最优控制. 最后, 通过仿真结果证明了本文所提两种无模型策略梯度强化学习最优控制算法的高效性与优越性.
针对一类未知动力学马尔科夫随机系统的最优控制问题, 提出两种无模型策略梯度强化学习算法. 首先, 针对模型信息部分未知的马尔科夫随机系统, 基于系统采样数据和耦合李雅普诺夫方程推导出无模型策略梯度的解析形式, 并提出一种部分无模型策略梯度强化学习最优控制算法, 实现对预设性能指标的直接最小化. 由于求解耦合李雅普诺夫方程和计算策略梯度的必要数据均可从系统采样数据同一轨迹提取, 而无需再额外收集采样数据, 降低了算法的采样复杂度. 进一步地, 为完全解除对马尔科夫随机系统模型信息的依赖, 通过随机摄动反馈增益估计策略梯度, 并提出一种完全无模型策略梯度强化学习算法, 实现了马尔科夫随机系统动力学完全未知情况下的最优控制. 最后, 通过仿真结果证明了本文所提两种无模型策略梯度强化学习最优控制算法的高效性与优越性.
2025, 51(10): 2256-2268.
doi: 10.16383/j.aas.c250286
cstr: 32138.14.j.aas.c250286
摘要:
随着信息技术的快速发展, 特别是计算能力和数据收集能力的持续提升, 利用大参数模型对复杂场景进行建模已成为显著的发展趋势. 然而, 关于一般反馈输入下此类模型的学习问题, 在控制系统领域却鲜有研究. 鉴于此, 针对饱和观测下的大回归模型, 设计一种在线扩展型自适应学习算法. 该算法可随着新数据的增加自动更新算法维数和计算结果, 在无需存储历史数据的前提下, 实现学习结果的动态调整与输出的实时预测. 具体而言, 在一般的非持续激励数据条件下证明了所提出算法的收敛性, 该结果可以适用于一般反馈控制系统. 此外, 在无需任何数据激励条件的情况下, 证明了所提出算法的预测“遗憾”具有良好的收敛性. 最后, 基于真实的故意伤害罪判决数据开展司法量刑预测实验, 检验了所提出算法的计算效率和预测精度.
随着信息技术的快速发展, 特别是计算能力和数据收集能力的持续提升, 利用大参数模型对复杂场景进行建模已成为显著的发展趋势. 然而, 关于一般反馈输入下此类模型的学习问题, 在控制系统领域却鲜有研究. 鉴于此, 针对饱和观测下的大回归模型, 设计一种在线扩展型自适应学习算法. 该算法可随着新数据的增加自动更新算法维数和计算结果, 在无需存储历史数据的前提下, 实现学习结果的动态调整与输出的实时预测. 具体而言, 在一般的非持续激励数据条件下证明了所提出算法的收敛性, 该结果可以适用于一般反馈控制系统. 此外, 在无需任何数据激励条件的情况下, 证明了所提出算法的预测“遗憾”具有良好的收敛性. 最后, 基于真实的故意伤害罪判决数据开展司法量刑预测实验, 检验了所提出算法的计算效率和预测精度.
2025, 51(10): 2269-2282.
doi: 10.16383/j.aas.c250086
cstr: 32138.14.j.aas.c250086
摘要:
针对水下仿生机器人集群的围捕−逃逸问题, 提出一种融合多头自注意力机制的多智能体强化学习策略训练框架. 该框架构建一种基于多头自注意力机制的中心化决策网络, 在提升策略训练效率的同时, 保留分布式决策架构, 有效增强个体的自主决策能力与群体间的协同性能. 此外, 针对策略由仿真环境向真实场景迁移过程中动力学建模不精确、感知−动作存在偏差等挑战, 构建一种由真实场景机器鱼运动数据驱动的仿真环境, 有效提升了策略的可迁移性与部署的可靠性. 通过仿真与真实场景实验验证了所提方法在水下仿生机器人协同围捕任务中的有效性. 相较于多智能体近端策略优化算法, 该方法可使平均围捕成功率提升24.3%、平均围捕步长减少30.9%, 显著提升了水下仿生机器人集群的协同围捕效率. 该研究为多智能体强化学习在水下仿生机器人集群任务中的应用提供了新的思路和技术支持.
针对水下仿生机器人集群的围捕−逃逸问题, 提出一种融合多头自注意力机制的多智能体强化学习策略训练框架. 该框架构建一种基于多头自注意力机制的中心化决策网络, 在提升策略训练效率的同时, 保留分布式决策架构, 有效增强个体的自主决策能力与群体间的协同性能. 此外, 针对策略由仿真环境向真实场景迁移过程中动力学建模不精确、感知−动作存在偏差等挑战, 构建一种由真实场景机器鱼运动数据驱动的仿真环境, 有效提升了策略的可迁移性与部署的可靠性. 通过仿真与真实场景实验验证了所提方法在水下仿生机器人协同围捕任务中的有效性. 相较于多智能体近端策略优化算法, 该方法可使平均围捕成功率提升24.3%、平均围捕步长减少30.9%, 显著提升了水下仿生机器人集群的协同围捕效率. 该研究为多智能体强化学习在水下仿生机器人集群任务中的应用提供了新的思路和技术支持.
2025, 51(10): 2283-2292.
doi: 10.16383/j.aas.c250202
cstr: 32138.14.j.aas.c250202
摘要:
提出一种航天器编队的深度强化学习控制方法. 该方法通过引入动力学奖励, 考虑轨迹的动力学可行性并优化燃料消耗量. 在训练环境中, 引入\begin{document}$J_{2}$\end{document} 摄动相对动力学模型, 基于近端策略优化算法, 将航天器的局部观测信息作为策略网络和评价网络的输入. 策略网络输出航天器的期望位置和速度, 结合动力学模型限制策略任意动作之间的转换控制, 使输出轨迹考虑动力学可行性. 评价网络基于局部观测信息估计由动力学模型限制的优势函数, 从而辅助策略网络更新参数. 进一步地, 以燃料消耗量的负数作为动力学奖励, 结合避撞和任务相关奖励后, 训练得到的策略网络在完成航天器编队任务的同时优化了燃料消耗.
提出一种航天器编队的深度强化学习控制方法. 该方法通过引入动力学奖励, 考虑轨迹的动力学可行性并优化燃料消耗量. 在训练环境中, 引入
2025, 51(10): 2293-2301.
doi: 10.16383/j.aas.c250101
cstr: 32138.14.j.aas.c250101
摘要:
针对具有输入时滞的非线性系统直接自适应最优控制问题, 提出一种新的数据驱动输出反馈控制方法. 该方法通过融合Q学习与值迭代和策略迭代, 在学习过程中无需依赖系统动力学知识. 在系统满足一致可观性的条件下, 提出一种基于输出数据和带有时滞的输入数据的系统状态重构方法, 基于值迭代和策略迭代来学习自适应最优控制策略. 最后, 将该方法应用于范德波尔振荡器这一经典非线性系统的控制, 并通过仿真结果充分验证了该方法的有效性.
针对具有输入时滞的非线性系统直接自适应最优控制问题, 提出一种新的数据驱动输出反馈控制方法. 该方法通过融合Q学习与值迭代和策略迭代, 在学习过程中无需依赖系统动力学知识. 在系统满足一致可观性的条件下, 提出一种基于输出数据和带有时滞的输入数据的系统状态重构方法, 基于值迭代和策略迭代来学习自适应最优控制策略. 最后, 将该方法应用于范德波尔振荡器这一经典非线性系统的控制, 并通过仿真结果充分验证了该方法的有效性.
2025, 51(10): 2302-2312.
doi: 10.16383/j.aas.c250244
cstr: 32138.14.j.aas.c250244
摘要:
卫星遥测时间序列数据在遥感监测、导航定位等领域具有重要应用价值, 同时也能有效监控卫星的健康状态. 然而, 这些数据常常因传感器故障、数据传输错误等复杂因素出现缺失, 严重影响数据的完整性和可用性, 甚至可能导致决策失误. 对此, 提出基于多变量条件扩散模型的卫星时间序列补全方法, 旨在提高卫星遥测数据缺失值插补的准确性. 首先, 通过引入条件扩散方法, 将观测到的卫星数据作为条件输入, 通过建模缺失值的后验分布来生成数据, 并在生成过程中对该残缺样本进行初步的线性插补, 从而提高模型的稳定性. 其次, 设计由时间注意力层和门控激活单元组成的残差模块作为主干预测网络, 对多维遥测数据中的时间依赖关系进行充分捕捉, 实现对缺失数据的精准重构. 最后, 在某通信卫星的动量轮遥测数据集以及公开的时间序列数据集上进行广泛实验. 实验结果表明, 所提方法在不同缺失率下均表现出良好的性能和泛化能力, 与现有方法相比, 展现出更高的准确性和稳定性.
卫星遥测时间序列数据在遥感监测、导航定位等领域具有重要应用价值, 同时也能有效监控卫星的健康状态. 然而, 这些数据常常因传感器故障、数据传输错误等复杂因素出现缺失, 严重影响数据的完整性和可用性, 甚至可能导致决策失误. 对此, 提出基于多变量条件扩散模型的卫星时间序列补全方法, 旨在提高卫星遥测数据缺失值插补的准确性. 首先, 通过引入条件扩散方法, 将观测到的卫星数据作为条件输入, 通过建模缺失值的后验分布来生成数据, 并在生成过程中对该残缺样本进行初步的线性插补, 从而提高模型的稳定性. 其次, 设计由时间注意力层和门控激活单元组成的残差模块作为主干预测网络, 对多维遥测数据中的时间依赖关系进行充分捕捉, 实现对缺失数据的精准重构. 最后, 在某通信卫星的动量轮遥测数据集以及公开的时间序列数据集上进行广泛实验. 实验结果表明, 所提方法在不同缺失率下均表现出良好的性能和泛化能力, 与现有方法相比, 展现出更高的准确性和稳定性.
2025, 51(10): 2313-2323.
doi: 10.16383/j.aas.c250136
cstr: 32138.14.j.aas.c250136
摘要:
针对旋转导向钻井工具系统中工具面角的实时测量问题, 提出一种基于深度学习的智能粒子滤波算法. 首先, 针对粒子滤波中的粒子短缺与退化问题, 建立条件生成对抗网络(CGAN)引导的粒子选择机制. 在该机制中, 生成器网络通过对抗训练优化采样分布, 生成高质量粒子集; 判别器则评估生成粒子在真实后验分布中的概率值, 指导粒子权重计算. 其次, 针对井下复杂工况中存在的噪声协方差矩阵未知且时变问题, 设计基于深度残差网络(ResNet)的协方差矩阵估计器. 该模块与CGAN引导的粒子滤波以端到端的方式集成, 形成闭环优化系统. ResNet模块得益于粒子滤波算法中的模型信息, 并为粒子滤波提供协方差矩阵的估计. 最后, 在旋转导向钻井工具平台上进行实验. 结果表明所提算法能够有效解决工具面角的实时测量问题, 与已有算法相比具有更高的精度.
针对旋转导向钻井工具系统中工具面角的实时测量问题, 提出一种基于深度学习的智能粒子滤波算法. 首先, 针对粒子滤波中的粒子短缺与退化问题, 建立条件生成对抗网络(CGAN)引导的粒子选择机制. 在该机制中, 生成器网络通过对抗训练优化采样分布, 生成高质量粒子集; 判别器则评估生成粒子在真实后验分布中的概率值, 指导粒子权重计算. 其次, 针对井下复杂工况中存在的噪声协方差矩阵未知且时变问题, 设计基于深度残差网络(ResNet)的协方差矩阵估计器. 该模块与CGAN引导的粒子滤波以端到端的方式集成, 形成闭环优化系统. ResNet模块得益于粒子滤波算法中的模型信息, 并为粒子滤波提供协方差矩阵的估计. 最后, 在旋转导向钻井工具平台上进行实验. 结果表明所提算法能够有效解决工具面角的实时测量问题, 与已有算法相比具有更高的精度.
2025, 51(10): 2324-2336.
doi: 10.16383/j.aas.c250151
cstr: 32138.14.j.aas.c250151
摘要:
针对存在参数不确定性、外部扰动和输入饱和约束的移动机械臂跟踪控制问题, 提出一种基于自适应动态规划的鲁棒\begin{document}$H_{\infty} $\end{document} 控制方案. 首先, 通过设计神经网络辨识器, 对跟踪误差动力学中的不确定性进行在线估计. 然后, 考虑外部扰动、目标运动扰动和辨识误差, 将鲁棒\begin{document}$H_{\infty} $\end{document} 控制转化为零和博弈问题进行求解, 并在值函数中引入广义非二次泛函来处理输入饱和约束. 进一步, 构建评价网络逼近最优值函数, 获得近似最优控制律及最坏情况下的总扰动估计, 实现闭环系统跟踪误差和评价网络权值估计误差的一致最终有界. 仿真结果验证了所提方案的有效性.
针对存在参数不确定性、外部扰动和输入饱和约束的移动机械臂跟踪控制问题, 提出一种基于自适应动态规划的鲁棒
2025, 51(10): 2337-2346.
doi: 10.16383/j.aas.c250261
cstr: 32138.14.j.aas.c250261
摘要:
维持频率稳定是电力系统控制的一个重要目标. 然而, 高渗透率新能源可能导致频繁的功率波动, 对系统频率调节造成不利影响. 为解决这一问题, 通常需要快速调节变流器资源的功率输出, 响应系统频率波动以实现快速频率控制. 针对电力系统快速频率控制, 提出一种数据与模型驱动的预测控制方法. 首先, 设计数据驱动的扰动观测器以估计负荷变化与新能源波动等系统扰动. 为优化控制性能, 利用基于神经网络设计的参考调节器为模型预测控制器提供虚拟参考. 通过学习长预测时域模型预测控制器, 参考调节器能够提升短预测时域控制器性能, 因而降低了所需的计算时间. 最终, 仿真对比结果表明所提方法能够有效提高频率控制性能.
维持频率稳定是电力系统控制的一个重要目标. 然而, 高渗透率新能源可能导致频繁的功率波动, 对系统频率调节造成不利影响. 为解决这一问题, 通常需要快速调节变流器资源的功率输出, 响应系统频率波动以实现快速频率控制. 针对电力系统快速频率控制, 提出一种数据与模型驱动的预测控制方法. 首先, 设计数据驱动的扰动观测器以估计负荷变化与新能源波动等系统扰动. 为优化控制性能, 利用基于神经网络设计的参考调节器为模型预测控制器提供虚拟参考. 通过学习长预测时域模型预测控制器, 参考调节器能够提升短预测时域控制器性能, 因而降低了所需的计算时间. 最终, 仿真对比结果表明所提方法能够有效提高频率控制性能.
2025, 51(10): 2347-2358.
doi: 10.16383/j.aas.c250253
cstr: 32138.14.j.aas.c250253
摘要:
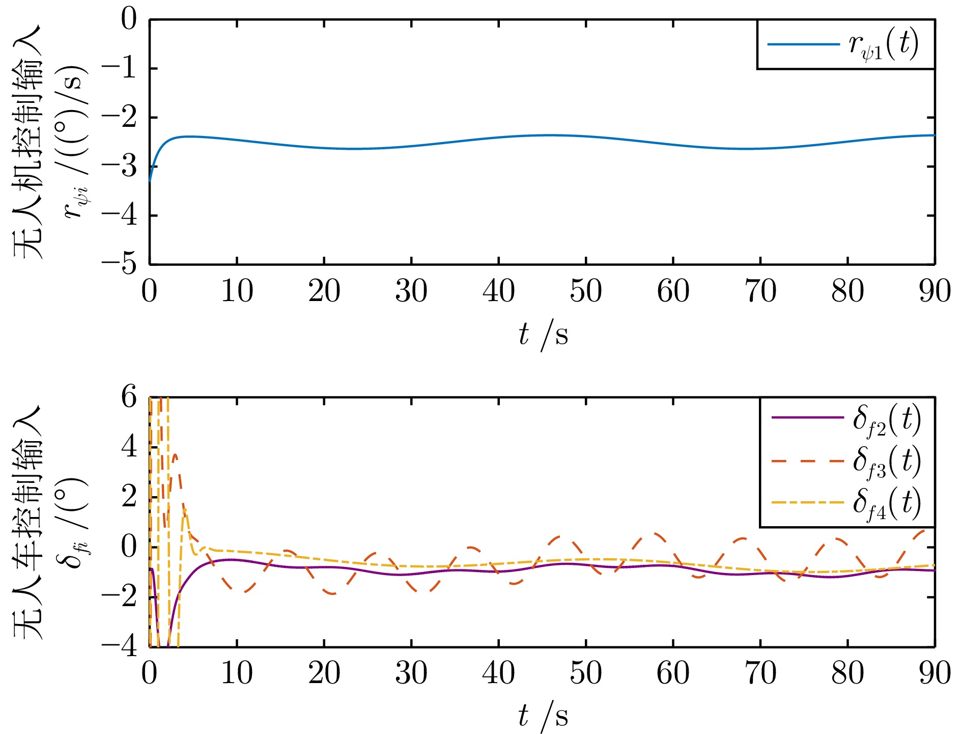
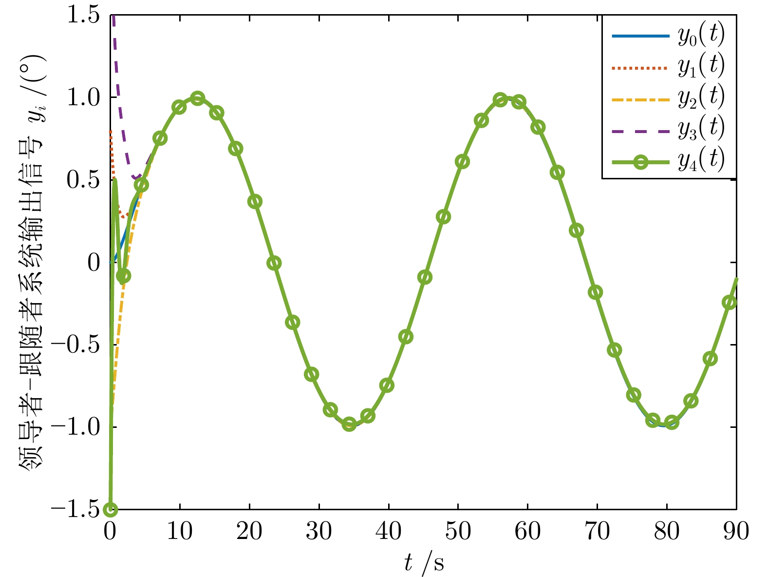
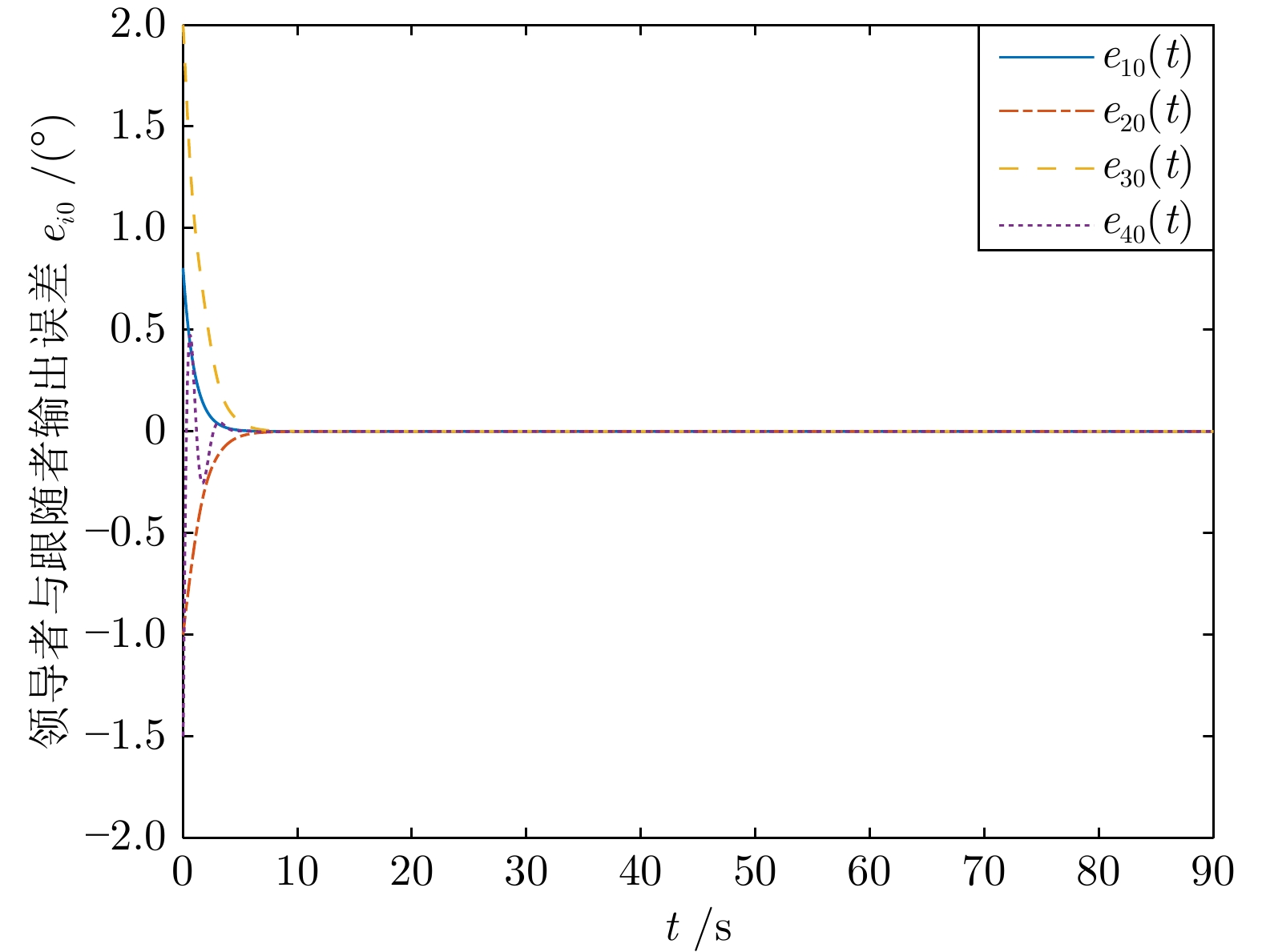
提出一种集攻击检测与防御控制于一体的策略来研究执行器攻击下多智能体系统的弹性跟踪控制问题. 在攻击检测方面, 设计一种基于状态机的动态特征函数建模检测方案. 该方案提出采用线性函数观测器对执行器信号进行估计, 并依据实际信号与估计值之间的误差特性构建攻击检测准则, 以此实现对执行器攻击的有效检测. 在防御策略设计上, 为降低执行器攻击对系统跟踪共识性能的影响, 构建一种基于虚拟网络增强的协同控制系统. 该系统通过与领导者及各跟随者建立连接, 在执行器攻击信息未知的情况下, 确保系统能够实现弹性跟踪控制. 具体而言, 当检测到攻击发生时, 各跟随者的防御控制策略将切换至虚拟层提供的控制信号; 若未检测到攻击, 则维持各跟随者原有的实际控制信号. 与现有研究成果相比, 所设计的控制器无需预先获取恶意节点数量及攻击者位置等先验信息, 具有更强的实用性和适应性. 最后, 通过一个数值算例对所提出的理论算法进行验证, 结果表明该算法能够有效应对执行器攻击, 实现多智能体系统的弹性跟踪控制.
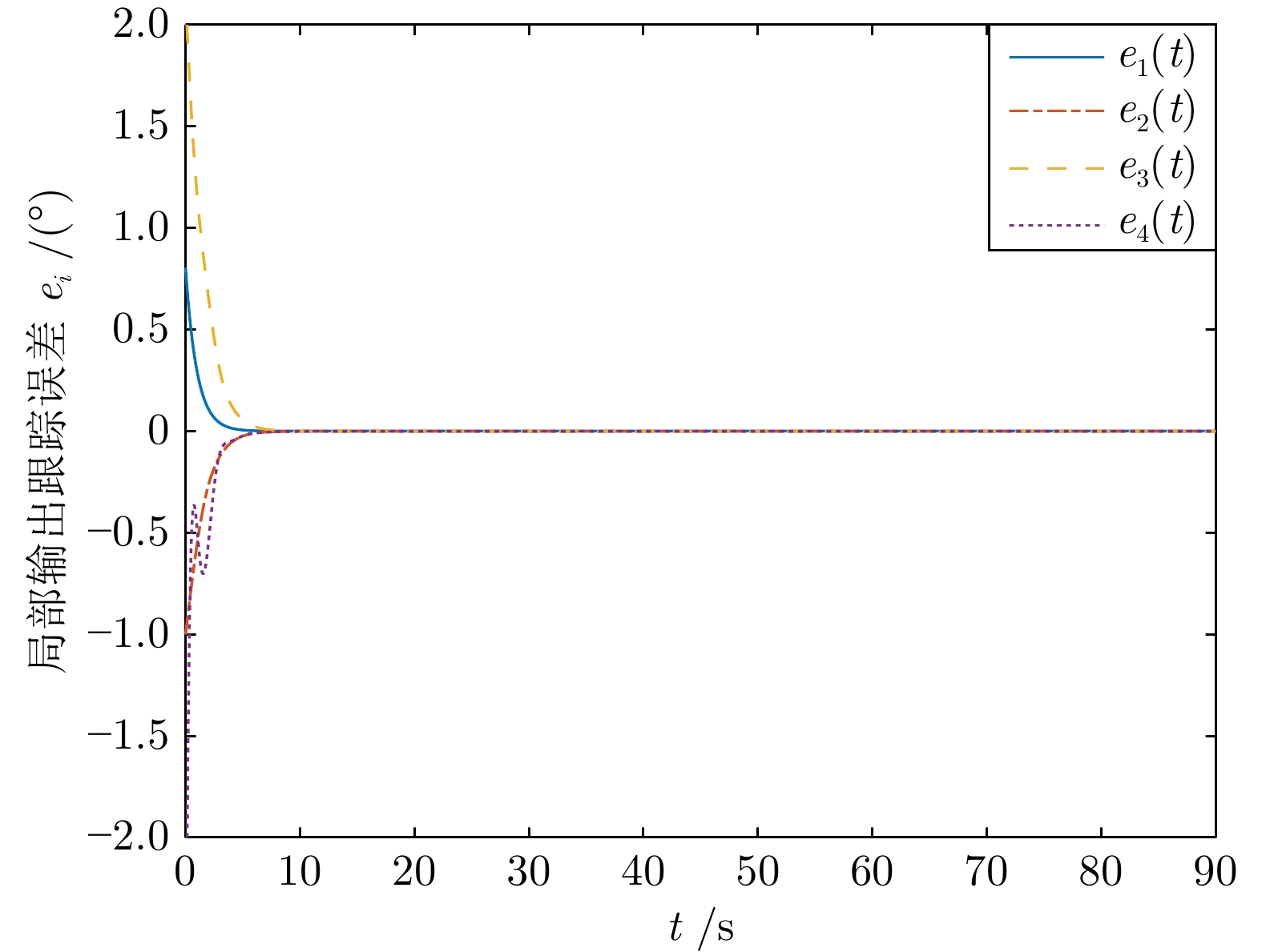
提出一种集攻击检测与防御控制于一体的策略来研究执行器攻击下多智能体系统的弹性跟踪控制问题. 在攻击检测方面, 设计一种基于状态机的动态特征函数建模检测方案. 该方案提出采用线性函数观测器对执行器信号进行估计, 并依据实际信号与估计值之间的误差特性构建攻击检测准则, 以此实现对执行器攻击的有效检测. 在防御策略设计上, 为降低执行器攻击对系统跟踪共识性能的影响, 构建一种基于虚拟网络增强的协同控制系统. 该系统通过与领导者及各跟随者建立连接, 在执行器攻击信息未知的情况下, 确保系统能够实现弹性跟踪控制. 具体而言, 当检测到攻击发生时, 各跟随者的防御控制策略将切换至虚拟层提供的控制信号; 若未检测到攻击, 则维持各跟随者原有的实际控制信号. 与现有研究成果相比, 所设计的控制器无需预先获取恶意节点数量及攻击者位置等先验信息, 具有更强的实用性和适应性. 最后, 通过一个数值算例对所提出的理论算法进行验证, 结果表明该算法能够有效应对执行器攻击, 实现多智能体系统的弹性跟踪控制.
2025, 51(10): 2359-2370.
doi: 10.16383/j.aas.c250290
cstr: 32138.14.j.aas.c250290
摘要:
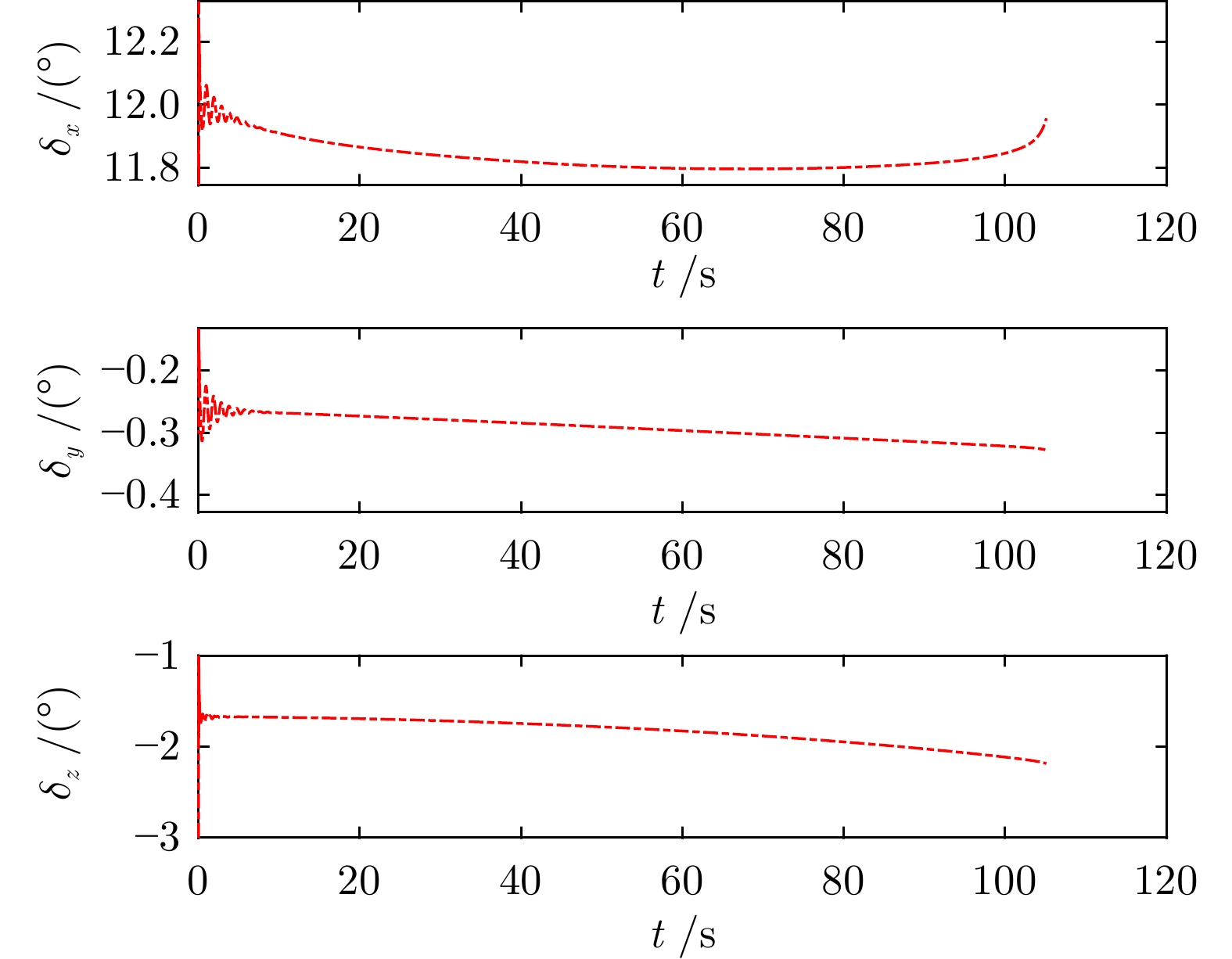
尽管多智能体系统协同控制已有广泛研究, 现有分布式控制算法在个体传感器受损情况下仍存在性能下降问题. 提出一种协同互估计与控制一体化设计新框架, 通过充分利用个体传感器对其他智能体的测量信息, 提升多智能体系统协同控制的弹性能力. 首先, 对整个多智能体系统构建分布式传感网络模型. 其次, 基于既定的协同控制任务, 建立个体对整体控制输入的预测估计; 进一步设计全局整体测量输出的分布式一致性追踪估计器. 然后, 利用整体控制输入预测和整体测量输出追踪, 设计局部观测器实现整体状态估计. 此外, 将所提的一体化设计框架应用于线性多智能体系统协同一致性控制问题, 提出反馈增益的联合设计方法, 从理论上验证了所提框架的有效性. 仿真结果进一步表明, 该框架能够适用于多智能体系统部分传感器受损情形下的协同控制任务. 最后, 探讨协同互估计与控制一体化框架的未来研究方向.
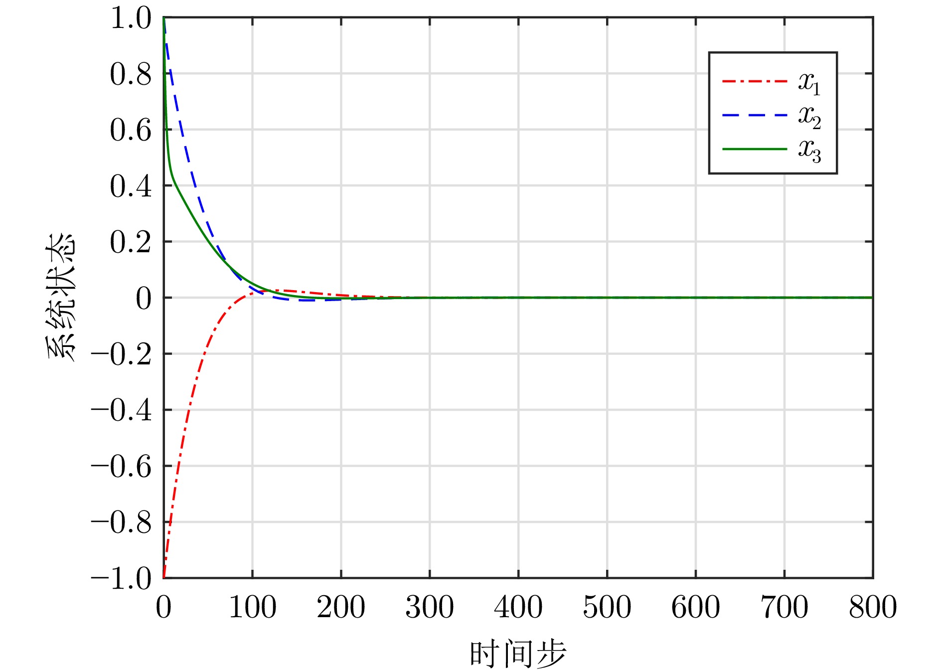
尽管多智能体系统协同控制已有广泛研究, 现有分布式控制算法在个体传感器受损情况下仍存在性能下降问题. 提出一种协同互估计与控制一体化设计新框架, 通过充分利用个体传感器对其他智能体的测量信息, 提升多智能体系统协同控制的弹性能力. 首先, 对整个多智能体系统构建分布式传感网络模型. 其次, 基于既定的协同控制任务, 建立个体对整体控制输入的预测估计; 进一步设计全局整体测量输出的分布式一致性追踪估计器. 然后, 利用整体控制输入预测和整体测量输出追踪, 设计局部观测器实现整体状态估计. 此外, 将所提的一体化设计框架应用于线性多智能体系统协同一致性控制问题, 提出反馈增益的联合设计方法, 从理论上验证了所提框架的有效性. 仿真结果进一步表明, 该框架能够适用于多智能体系统部分传感器受损情形下的协同控制任务. 最后, 探讨协同互估计与控制一体化框架的未来研究方向.