2023年 第49卷 第12期
2023, 49(12): 2437-2456.
doi: 10.16383/j.aas.c220819
摘要:
提升纯电动汽车整车能效、降低百公里耗电量, 是我国新能源汽车产业发展的重大需求. 智能网联背景下, V2X (Vehicle to everything)网联信息以及激光雷达、毫米波雷达、摄像头、定位及导航装置等各类车载传感器, 为智能网联电动汽车(Connected automated electric vehicle, CAEV)提供了全方位的信息交互、共享和状态感知能力, 赋予了其巨大的节能优化潜力. 针对CAEV节能优化控制问题, 首先从动力电池、电机控制器、驱动电机、传动机构、轮胎和驾驶决策六个环节分析电动汽车的典型损耗特性, 从决策、控制和执行三个层面分析CAEV的能量转换过程及耦合关系, 以及网联信息对CAEV 的节能影响; 然后, 从决策层车速优化、控制层驱动/制动转矩优化控制和执行层电流矢量优化控制三个方面, 对各层的节能优化问题进行阐述, 并重点对国内外研究现状进行归纳分析; 最后, 对决策层、控制层和执行层CAEV节能优化控制的难点以及现有研究工作进行总结, 并对下一步发展趋势进行展望.
提升纯电动汽车整车能效、降低百公里耗电量, 是我国新能源汽车产业发展的重大需求. 智能网联背景下, V2X (Vehicle to everything)网联信息以及激光雷达、毫米波雷达、摄像头、定位及导航装置等各类车载传感器, 为智能网联电动汽车(Connected automated electric vehicle, CAEV)提供了全方位的信息交互、共享和状态感知能力, 赋予了其巨大的节能优化潜力. 针对CAEV节能优化控制问题, 首先从动力电池、电机控制器、驱动电机、传动机构、轮胎和驾驶决策六个环节分析电动汽车的典型损耗特性, 从决策、控制和执行三个层面分析CAEV的能量转换过程及耦合关系, 以及网联信息对CAEV 的节能影响; 然后, 从决策层车速优化、控制层驱动/制动转矩优化控制和执行层电流矢量优化控制三个方面, 对各层的节能优化问题进行阐述, 并重点对国内外研究现状进行归纳分析; 最后, 对决策层、控制层和执行层CAEV节能优化控制的难点以及现有研究工作进行总结, 并对下一步发展趋势进行展望.
2023, 49(12): 2457-2466.
doi: 10.16383/j.aas.c230692
摘要:
本文对2023年度国家自然科学基金委员会自动化领域(申请代码F03)下的面上项目、青年科学基金项目、地区科学基金项目、重点项目、优秀青年科学基金项目和国家杰出青年科学基金项目的申请与资助情况进行了统计分析, 并对面上项目和青年科学基金的项目申请与资助依托单位、申请代码分布等情况进行详细分析, 介绍了本领域按科学问题属性分类的评审试点和“负责任、讲信誉、计贡献”评审机制试点工作, 最后进行了总结和展望.
本文对2023年度国家自然科学基金委员会自动化领域(申请代码F03)下的面上项目、青年科学基金项目、地区科学基金项目、重点项目、优秀青年科学基金项目和国家杰出青年科学基金项目的申请与资助情况进行了统计分析, 并对面上项目和青年科学基金的项目申请与资助依托单位、申请代码分布等情况进行详细分析, 介绍了本领域按科学问题属性分类的评审试点和“负责任、讲信誉、计贡献”评审机制试点工作, 最后进行了总结和展望.
2023, 49(12): 2467-2480.
doi: 10.16383/j.aas.c220312
摘要:
连续学习(Continual learning, CL)多个任务的能力对于通用人工智能的发展至关重要. 现有人工神经网络(Artificial neural networks, ANNs)在单一任务上具有出色表现, 但在开放环境中依次面对不同任务时非常容易发生灾难性遗忘现象, 即联结主义模型在学习新任务时会迅速地忘记旧任务. 为了解决这个问题, 将随机权神经网络(Random weight neural networks, RWNNs)与生物大脑的相关工作机制联系起来, 提出一种新的再可塑性启发的随机化网络(Metaplasticity-inspired randomized network, MRNet)用于类增量学习(Class incremental learning, Class-IL)场景, 使得单一模型在不访问旧任务数据的情况下能够从未知的任务序列中学习与记忆融合. 首先, 以前馈方式构造具有解析解的通用连续学习框架, 用于有效兼容新任务中出现的新类别; 然后, 基于突触可塑性设计具备记忆功能的权值重要性矩阵, 自适应地调整网络参数以避免发生遗忘; 最后, 所提方法的有效性和高效性通过5个评价指标、5个基准任务序列和10个比较方法在类增量学习场景中得到验证.
连续学习(Continual learning, CL)多个任务的能力对于通用人工智能的发展至关重要. 现有人工神经网络(Artificial neural networks, ANNs)在单一任务上具有出色表现, 但在开放环境中依次面对不同任务时非常容易发生灾难性遗忘现象, 即联结主义模型在学习新任务时会迅速地忘记旧任务. 为了解决这个问题, 将随机权神经网络(Random weight neural networks, RWNNs)与生物大脑的相关工作机制联系起来, 提出一种新的再可塑性启发的随机化网络(Metaplasticity-inspired randomized network, MRNet)用于类增量学习(Class incremental learning, Class-IL)场景, 使得单一模型在不访问旧任务数据的情况下能够从未知的任务序列中学习与记忆融合. 首先, 以前馈方式构造具有解析解的通用连续学习框架, 用于有效兼容新任务中出现的新类别; 然后, 基于突触可塑性设计具备记忆功能的权值重要性矩阵, 自适应地调整网络参数以避免发生遗忘; 最后, 所提方法的有效性和高效性通过5个评价指标、5个基准任务序列和10个比较方法在类增量学习场景中得到验证.
2023, 49(12): 2481-2492.
doi: 10.16383/j.aas.c210555
摘要:
针对智能车辆的高精度侧向控制问题, 提出一种基于滚动时域强化学习(Receding horizon reinforcement learning, RHRL)的侧向控制方法. 车辆的侧向控制量由前馈和反馈两部分构成, 前馈控制量由参考路径的曲率以及动力学模型直接计算得出; 而反馈控制量通过采用滚动时域强化学习算法求解最优跟踪控制问题得到. 提出的方法结合滚动时域优化机制, 将无限时域最优控制问题转化为若干有限时域控制问题进行求解. 与已有的有限时域执行器−评价器学习不同, 在每个预测时域采用时间独立型执行器−评价器网络结构学习最优值函数和控制策略. 与模型预测控制(Model predictive control, MPC)方法求解开环控制序列不同, RHRL控制器的输出是一个显式状态反馈控制律, 兼具直接离线部署和在线学习部署的能力. 此外, 从理论上证明了RHRL算法在每个预测时域的收敛性, 并分析了闭环系统的稳定性. 在仿真环境中完成了结构化道路下的车辆侧向控制测试. 仿真结果表明, 提出的RHRL方法在控制性能方面优于现有先进算法, 最后, 以红旗E-HS3电动汽车作为实车平台, 在封闭结构化城市测试道路和乡村起伏砂石道路下进行了侧向控制实验. 实验结果显示, RHRL在结构化城市道路中的侧向控制性能优于预瞄控制, 在乡村道路中具有较强的路面适应能力和较好的控制性能.
针对智能车辆的高精度侧向控制问题, 提出一种基于滚动时域强化学习(Receding horizon reinforcement learning, RHRL)的侧向控制方法. 车辆的侧向控制量由前馈和反馈两部分构成, 前馈控制量由参考路径的曲率以及动力学模型直接计算得出; 而反馈控制量通过采用滚动时域强化学习算法求解最优跟踪控制问题得到. 提出的方法结合滚动时域优化机制, 将无限时域最优控制问题转化为若干有限时域控制问题进行求解. 与已有的有限时域执行器−评价器学习不同, 在每个预测时域采用时间独立型执行器−评价器网络结构学习最优值函数和控制策略. 与模型预测控制(Model predictive control, MPC)方法求解开环控制序列不同, RHRL控制器的输出是一个显式状态反馈控制律, 兼具直接离线部署和在线学习部署的能力. 此外, 从理论上证明了RHRL算法在每个预测时域的收敛性, 并分析了闭环系统的稳定性. 在仿真环境中完成了结构化道路下的车辆侧向控制测试. 仿真结果表明, 提出的RHRL方法在控制性能方面优于现有先进算法, 最后, 以红旗E-HS3电动汽车作为实车平台, 在封闭结构化城市测试道路和乡村起伏砂石道路下进行了侧向控制实验. 实验结果显示, RHRL在结构化城市道路中的侧向控制性能优于预瞄控制, 在乡村道路中具有较强的路面适应能力和较好的控制性能.
2023, 49(12): 2493-2506.
doi: 10.16383/j.aas.c201018
摘要:
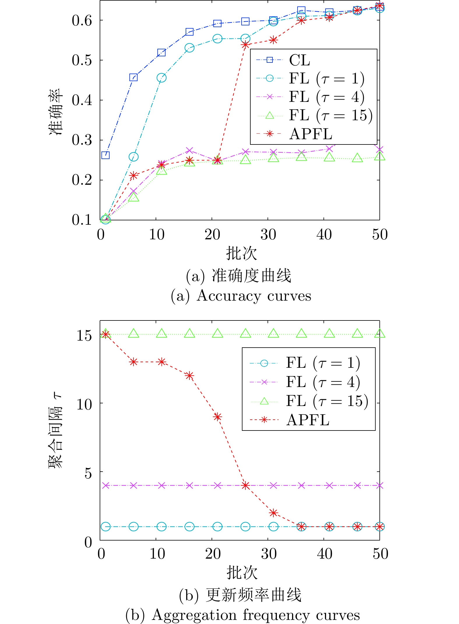
近些年, 联邦学习(Federated learning, FL)由于能够打破数据壁垒, 实现孤岛数据价值变现, 受到了工业界和学术界的广泛关注. 然而, 在实际工程应用中, 联邦学习存在着数据隐私泄露和模型性能损失的问题. 为此, 首先对这两个问题进行数学描述与分析. 然后, 提出一种自适应模型聚合方案, 该方案能够设定各参与者的Mini-batch值和自适应调整全局模型聚合间隔, 旨在保证模型精度的同时, 提高联邦学习训练效率. 并且, 混沌系统被首次引入联邦学习领域中, 用于构建一种基于混沌系统和同态加密的混合隐私保护方案, 从而进一步提升系统的隐私保护水平. 理论分析与实验结果表明, 提出的联邦学习算法能够保证参与者的数据隐私安全. 并且, 在非独立同分布数据的场景下, 该算法能够在保证模型精度的前提下提高训练效率, 降低系统通信成本, 具备实际工业场景应用的可行性.
近些年, 联邦学习(Federated learning, FL)由于能够打破数据壁垒, 实现孤岛数据价值变现, 受到了工业界和学术界的广泛关注. 然而, 在实际工程应用中, 联邦学习存在着数据隐私泄露和模型性能损失的问题. 为此, 首先对这两个问题进行数学描述与分析. 然后, 提出一种自适应模型聚合方案, 该方案能够设定各参与者的Mini-batch值和自适应调整全局模型聚合间隔, 旨在保证模型精度的同时, 提高联邦学习训练效率. 并且, 混沌系统被首次引入联邦学习领域中, 用于构建一种基于混沌系统和同态加密的混合隐私保护方案, 从而进一步提升系统的隐私保护水平. 理论分析与实验结果表明, 提出的联邦学习算法能够保证参与者的数据隐私安全. 并且, 在非独立同分布数据的场景下, 该算法能够在保证模型精度的前提下提高训练效率, 降低系统通信成本, 具备实际工业场景应用的可行性.
2023, 49(12): 2507-2519.
doi: 10.16383/j.aas.c220371
摘要:
药物相互作用(Drug-drug interaction, DDI)是指不同药物存在抑制或促进等作用. 现有DDI预测方法往往直接利用药物分子特征表示预测DDI, 而忽略药物分子中不同原子对DDI的影响. 为此, 提出基于多层次注意力机制和消息传递神经网络的DDI预测方法. 该方法将DDI建模为通过学习基于序列表示的药物分子特征实现DDI预测的链接预测问题. 首先, 建立基于注意力机制和消息传递神经网络的原子特征网络, 结合提出的基于分子质心的位置编码, 学习不同原子及其相关联化学键的特征, 构建基于图结构的药物分子特征表示; 然后, 设计基于注意力机制的分子特征网络, 并通过监督和对比损失学习, 实现DDI预测; 最后, 通过实验证明该方法的有效性和优越性.
药物相互作用(Drug-drug interaction, DDI)是指不同药物存在抑制或促进等作用. 现有DDI预测方法往往直接利用药物分子特征表示预测DDI, 而忽略药物分子中不同原子对DDI的影响. 为此, 提出基于多层次注意力机制和消息传递神经网络的DDI预测方法. 该方法将DDI建模为通过学习基于序列表示的药物分子特征实现DDI预测的链接预测问题. 首先, 建立基于注意力机制和消息传递神经网络的原子特征网络, 结合提出的基于分子质心的位置编码, 学习不同原子及其相关联化学键的特征, 构建基于图结构的药物分子特征表示; 然后, 设计基于注意力机制的分子特征网络, 并通过监督和对比损失学习, 实现DDI预测; 最后, 通过实验证明该方法的有效性和优越性.
2023, 49(12): 2520-2531.
doi: 10.16383/j.aas.c210676
摘要:
高精度时间同步是任务关键型工业网络控制系统的核心支撑技术, 针对工业环境中普遍存在周期性振动等扰动信号导致晶振频率漂移, 影响时间同步精度的问题, 基于扩展比例积分(Proportional integral, PI)观测器, 提出一种新型的抗扰补偿器结构, 用于消除周期性扰动的影响, 并构建了相应的精细抗干扰反馈控制方法, 用于实现高精度时间同步. 与传统的扰动观测器相比, 所提出的扩展\begin{document}$ \mathrm{P}\mathrm{I} $\end{document} 抗扰补偿器克服了传统扰动观测器零点不变局限性, 提出了零点配置方法, 以充分利用闭环系统的传递函数矩阵(Transfer function matrix, TFM)在系统零点处降秩的特性, 实现了对于特定频率扰动信号的补偿作用. 并给出了所提出的控制器和抗扰补偿器的稳定性证明和控制器参数的稳定域. 通过基于实测参数的无线网络仿真实验, 验证了在\begin{document}$5\;\mathrm{g}$\end{document} 周期性振动干扰下, 提出的方法明显优于传统滤波器和补偿器, 达到了同步误差在4 μs以内, 实现了高精度时间同步.
高精度时间同步是任务关键型工业网络控制系统的核心支撑技术, 针对工业环境中普遍存在周期性振动等扰动信号导致晶振频率漂移, 影响时间同步精度的问题, 基于扩展比例积分(Proportional integral, PI)观测器, 提出一种新型的抗扰补偿器结构, 用于消除周期性扰动的影响, 并构建了相应的精细抗干扰反馈控制方法, 用于实现高精度时间同步. 与传统的扰动观测器相比, 所提出的扩展
2023, 49(12): 2532-2543.
doi: 10.16383/j.aas.c210646
摘要:
微型扑翼飞行器(Flapping wing micro aerial vehicle, FWMAV)因飞行效率高、质量轻、耗能低、机动性强等显著优点, 在飞行器研究和应用中占据重要地位. 目前, FWMAV姿态控制成为飞行器控制研究领域的研究热点. 针对FWMAV姿态控制问题, 基于平行智能理论框架提出了一种FWMAV抗扰动姿态控制器. 通过建立人工系统(Artificial systems, A)、计算实验(Computational experiments, C)、平行执行(Parallel execution, P)三个过程, 得到一个能够有效解决FWMAV姿态控制过程中扰动问题的控制器, 并通过理论分析和数值仿真证明了该控制器的有效性.
微型扑翼飞行器(Flapping wing micro aerial vehicle, FWMAV)因飞行效率高、质量轻、耗能低、机动性强等显著优点, 在飞行器研究和应用中占据重要地位. 目前, FWMAV姿态控制成为飞行器控制研究领域的研究热点. 针对FWMAV姿态控制问题, 基于平行智能理论框架提出了一种FWMAV抗扰动姿态控制器. 通过建立人工系统(Artificial systems, A)、计算实验(Computational experiments, C)、平行执行(Parallel execution, P)三个过程, 得到一个能够有效解决FWMAV姿态控制过程中扰动问题的控制器, 并通过理论分析和数值仿真证明了该控制器的有效性.
2023, 49(12): 2544-2556.
doi: 10.16383/j.aas.c201031
摘要:
针对经验模态分解(Empirical mode decomposition, EMD)系列方法存在的模态分裂(Mode splitting, MS)问题, 提出中值互补集合经验模态分解(Median complementary ensemble EMD, MCEEMD)算法. 通过概率模型量化互补集合经验模态分解(Complementary ensemble EMD, CEEMD)的MS问题, 证明了使用中值算子替代算术平均算子对抑制MS的有效性. 为了兼具抑制MS和残留噪声的性能, MCEEMD算法首次在集合过程中结合了中值和平均算子. 具体地, 所提方法首先添加N对互补的白噪声至原信号中, 并经过EMD分解得到2N组固有模态函数(Intrinsic mode functions, IMFs), 然后分别对其中互补相关的IMFs两两取平均得到N组IMFs, 最后使用中值算子处理上述N组IMFs得到输出结果. 对仿真信号与两个真实案例的分析结果表明, 本文提出的MCEEMD方法不仅有效抑制了CEEMD的MS问题, 而且避免了单一使用中值算子的两个缺点: 分解完备性差和IMFs中存在的毛刺现象.
针对经验模态分解(Empirical mode decomposition, EMD)系列方法存在的模态分裂(Mode splitting, MS)问题, 提出中值互补集合经验模态分解(Median complementary ensemble EMD, MCEEMD)算法. 通过概率模型量化互补集合经验模态分解(Complementary ensemble EMD, CEEMD)的MS问题, 证明了使用中值算子替代算术平均算子对抑制MS的有效性. 为了兼具抑制MS和残留噪声的性能, MCEEMD算法首次在集合过程中结合了中值和平均算子. 具体地, 所提方法首先添加N对互补的白噪声至原信号中, 并经过EMD分解得到2N组固有模态函数(Intrinsic mode functions, IMFs), 然后分别对其中互补相关的IMFs两两取平均得到N组IMFs, 最后使用中值算子处理上述N组IMFs得到输出结果. 对仿真信号与两个真实案例的分析结果表明, 本文提出的MCEEMD方法不仅有效抑制了CEEMD的MS问题, 而且避免了单一使用中值算子的两个缺点: 分解完备性差和IMFs中存在的毛刺现象.
2023, 49(12): 2557-2568.
doi: 10.16383/j.aas.c200614
摘要:
针对传统动态水印(Dynamic-watermarking, DWM)检测方法无法适用模型不确定系统的攻击检测问题, 首先分析模型不确定项导致的传统动态水印检测失效原因, 然后考虑模型不确定项和过程噪声的统计规律, 将其影响转化为对方差变化特性进行分析, 提出两个具有鲁棒性的攻击检测式以及检测式中关键时变方差阈值的确定方法; 其次采用系统失真信号功率定量刻画攻击信号造成系统性能损失程度, 理论证明了系统失真信号功率上界; 在此基础上考虑最坏情况下攻击能够躲过检测, 基于水印信号与其他混合信号相互独立性新增第三检测式, 同时理论证明了系统失真信号功率上界进一步受限范围, 进而提升不确定系统的安全性; 最后仿真算例验证了所提方法的有效性和可行性.
针对传统动态水印(Dynamic-watermarking, DWM)检测方法无法适用模型不确定系统的攻击检测问题, 首先分析模型不确定项导致的传统动态水印检测失效原因, 然后考虑模型不确定项和过程噪声的统计规律, 将其影响转化为对方差变化特性进行分析, 提出两个具有鲁棒性的攻击检测式以及检测式中关键时变方差阈值的确定方法; 其次采用系统失真信号功率定量刻画攻击信号造成系统性能损失程度, 理论证明了系统失真信号功率上界; 在此基础上考虑最坏情况下攻击能够躲过检测, 基于水印信号与其他混合信号相互独立性新增第三检测式, 同时理论证明了系统失真信号功率上界进一步受限范围, 进而提升不确定系统的安全性; 最后仿真算例验证了所提方法的有效性和可行性.
2023, 49(12): 2569-2581.
doi: 10.16383/j.aas.c200936
摘要:
针对轧机机电液垂扭耦合系统存在耦合振动问题, 提出一种基于耦合反步法的轧机垂扭耦合振动抑制控制策略. 首先考虑轧机传动系统、液压系统与辊系机械间的相互影响, 根据动力学定理, 建立轧机机电液垂扭耦合振动数学模型. 其次考虑到轧机耦合垂振系统和耦合扭振系统间存在状态耦合关系, 利用耦合反步法, 解决了振动控制器设计中存在的相互嵌套问题. 针对耦合系统输出性能受限问题, 借助于障碍李雅普诺夫函数方法, 同时利用神经网络来逼近未知非线性函数, 设计自适应神经网络振动抑制控制策略. 基于李雅普诺夫稳定理论严格证明了本文设计的控制方法能够保证系统输出满足所要求的暂稳态性能指标. 最后, 根据650 mm轧机的实际数据进行仿真, 验证了本文设计控制策略的有效性与优越性.
针对轧机机电液垂扭耦合系统存在耦合振动问题, 提出一种基于耦合反步法的轧机垂扭耦合振动抑制控制策略. 首先考虑轧机传动系统、液压系统与辊系机械间的相互影响, 根据动力学定理, 建立轧机机电液垂扭耦合振动数学模型. 其次考虑到轧机耦合垂振系统和耦合扭振系统间存在状态耦合关系, 利用耦合反步法, 解决了振动控制器设计中存在的相互嵌套问题. 针对耦合系统输出性能受限问题, 借助于障碍李雅普诺夫函数方法, 同时利用神经网络来逼近未知非线性函数, 设计自适应神经网络振动抑制控制策略. 基于李雅普诺夫稳定理论严格证明了本文设计的控制方法能够保证系统输出满足所要求的暂稳态性能指标. 最后, 根据650 mm轧机的实际数据进行仿真, 验证了本文设计控制策略的有效性与优越性.
2023, 49(12): 2582-2593.
doi: 10.16383/j.aas.c210041
摘要:
针对城市污水处理过程的非线性、不确定性以及非高斯等特点, 提出一种数据驱动的溶解氧(Dissolved oxygen, DO)浓度在线自组织控制方法. 首先, 设计一种基于相关熵的自组织模糊神经网络控制器(Correntropy-based self-organizing fuzzy neural network, CSOFNN), 采用相关熵与规则贡献度指标实现控制器结构与参数的自动构建或修剪. 其次, 设计基于相关熵诱导准则的补偿控制器及参数自适应律, 充分利用相关熵抑制非高斯噪声的能力, 能够有效地降低系统中的不确定性. 然后, 分析所提出的控制方法的稳定性, 从而保证其在实际应用中的可靠性. 最后, 基于基准仿真1号模型(Benchmark simulation model No. 1, BSM1)的实验验证了所提方法的有效性.
针对城市污水处理过程的非线性、不确定性以及非高斯等特点, 提出一种数据驱动的溶解氧(Dissolved oxygen, DO)浓度在线自组织控制方法. 首先, 设计一种基于相关熵的自组织模糊神经网络控制器(Correntropy-based self-organizing fuzzy neural network, CSOFNN), 采用相关熵与规则贡献度指标实现控制器结构与参数的自动构建或修剪. 其次, 设计基于相关熵诱导准则的补偿控制器及参数自适应律, 充分利用相关熵抑制非高斯噪声的能力, 能够有效地降低系统中的不确定性. 然后, 分析所提出的控制方法的稳定性, 从而保证其在实际应用中的可靠性. 最后, 基于基准仿真1号模型(Benchmark simulation model No. 1, BSM1)的实验验证了所提方法的有效性.
2023, 49(12): 2594-2604.
doi: 10.16383/j.aas.c200701
摘要:
针对任意初始状态下机械臂轨迹跟踪问题, 提出一种变长度误差跟踪迭代学习控制(Iterative learning control, ILC)方法. 首先, 构造不依赖于期望轨迹的双曲余弦型期望误差轨迹, 放宽经典迭代学习控制初始状态要求严格一致的条件. 由于该误差轨迹只需设置一个常数项, 因而能够有效减少计算量, 使得期望误差轨迹的设计更为简单. 其次, 考虑机械臂运行区间随迭代次数变化的问题, 构建虚拟误差变量补偿机制, 通过定义虚拟误差变量对未运行区间进行信息补偿, 放宽经典迭代学习控制的迭代长度不变条件. 在此基础上, 基于Lyapunov-like理论设计迭代学习控制器和全限幅学习律, 实现机械臂关节位置在指定区间上跟踪给定的期望轨迹和保证未知参数估计值的有界性. 最后, 仿真结果验证了所提方法的有效性.
针对任意初始状态下机械臂轨迹跟踪问题, 提出一种变长度误差跟踪迭代学习控制(Iterative learning control, ILC)方法. 首先, 构造不依赖于期望轨迹的双曲余弦型期望误差轨迹, 放宽经典迭代学习控制初始状态要求严格一致的条件. 由于该误差轨迹只需设置一个常数项, 因而能够有效减少计算量, 使得期望误差轨迹的设计更为简单. 其次, 考虑机械臂运行区间随迭代次数变化的问题, 构建虚拟误差变量补偿机制, 通过定义虚拟误差变量对未运行区间进行信息补偿, 放宽经典迭代学习控制的迭代长度不变条件. 在此基础上, 基于Lyapunov-like理论设计迭代学习控制器和全限幅学习律, 实现机械臂关节位置在指定区间上跟踪给定的期望轨迹和保证未知参数估计值的有界性. 最后, 仿真结果验证了所提方法的有效性.
2023, 49(12): 2605-2614.
doi: 10.16383/j.aas.c201036
摘要:
正电子发射断层成像(Positron emission tomography, PET)是一种强大的核医学功能成像模式, 广泛应用于临床诊断, 但PET图像的空间分辨率低且含有噪声, 有必要对PET图像进行去噪以提升PET图像的质量. 随着PET/MR (Magnetic resonance)等一体化成像设备的出现, 磁共振成像(Magnetic resonance imaging, MRI)的先验信息可用于PET图像去噪, 提高PET图像质量. 针对动态PET图像, 提出了一种融合MRI先验信息的PET图像图小波去噪新方法. 首先构建PET合成图像; 再将PET合成图像与MRI信息通过硬阈值方法进行融合; 接着在融合图像上构造图拉普拉斯矩阵; 最后通过图小波变换(Graph wavelet transfrom, GWT)对动态PET图像去噪. 仿真实验结果表明, 与单独的图滤波、图小波去噪方法以及其他结合MRI的PET图像去噪方法相比, 本文方法有更高的信噪比(Signal-to-noise ratio, SNR), 更好地保留了病灶信息; 本文方法的去噪性能与VGG (Visual Geometry Group)深度神经网络等基于学习的方法相当, 但不需要大量数据的训练, 计算复杂度低.
正电子发射断层成像(Positron emission tomography, PET)是一种强大的核医学功能成像模式, 广泛应用于临床诊断, 但PET图像的空间分辨率低且含有噪声, 有必要对PET图像进行去噪以提升PET图像的质量. 随着PET/MR (Magnetic resonance)等一体化成像设备的出现, 磁共振成像(Magnetic resonance imaging, MRI)的先验信息可用于PET图像去噪, 提高PET图像质量. 针对动态PET图像, 提出了一种融合MRI先验信息的PET图像图小波去噪新方法. 首先构建PET合成图像; 再将PET合成图像与MRI信息通过硬阈值方法进行融合; 接着在融合图像上构造图拉普拉斯矩阵; 最后通过图小波变换(Graph wavelet transfrom, GWT)对动态PET图像去噪. 仿真实验结果表明, 与单独的图滤波、图小波去噪方法以及其他结合MRI的PET图像去噪方法相比, 本文方法有更高的信噪比(Signal-to-noise ratio, SNR), 更好地保留了病灶信息; 本文方法的去噪性能与VGG (Visual Geometry Group)深度神经网络等基于学习的方法相当, 但不需要大量数据的训练, 计算复杂度低.
2023, 49(12): 2615-2626.
doi: 10.16383/j.aas.c210368
摘要:
在多无人机 (Multi-unmanned aerial vehicles, Multi-UAVs) 协同执行高层消防救援任务的场景中, 室内复杂火场环境下路径规划是亟待解决难题之一. 针对快速搜索随机树算法 (Rapidly-exploring random tree, RRT) 搜索区域受限、耗时较长、结果可行性差等问题, 提出RRT森林算法. 通过随机选取根节点、生成随机树、连接合并随机树, 使高层消防多无人机在复杂室内环境下协同路径规划效率显著提高. 此外, 采用两次动态规划(Dynamic programming, DP)以及改进障碍物接近检测方法, 进一步提高路径的可行性. 最终, 通过仿真验证算法的有效性.
在多无人机 (Multi-unmanned aerial vehicles, Multi-UAVs) 协同执行高层消防救援任务的场景中, 室内复杂火场环境下路径规划是亟待解决难题之一. 针对快速搜索随机树算法 (Rapidly-exploring random tree, RRT) 搜索区域受限、耗时较长、结果可行性差等问题, 提出RRT森林算法. 通过随机选取根节点、生成随机树、连接合并随机树, 使高层消防多无人机在复杂室内环境下协同路径规划效率显著提高. 此外, 采用两次动态规划(Dynamic programming, DP)以及改进障碍物接近检测方法, 进一步提高路径的可行性. 最终, 通过仿真验证算法的有效性.
2023, 49(12): 2627-2638.
doi: 10.16383/j.aas.c200890
摘要:
针对实际中某种工况滚动轴承带标签振动数据获取困难, 健康指标难以构建及寿命预测误差大的问题, 提出一种基于无监督深度模型迁移的滚动轴承剩余使用寿命(Remaining useful life, RUL)预测方法. 该方法首先对滚动轴承全寿命周期振动数据提取均方根(Root mean square, RMS)特征, 并引入新的自下而上(Bottom-up, BUP)时间序列分割算法将特征序列分割为正常期、退化期和衰退期3种状态; 对振动信号经快速傅里叶(Fast Fourier transform, FFT)变换后的幅值序列进行状态信息标记, 并将其输入到新增卷积层的全卷积神经网络(Full convolutional neural network, FCN)中, 提取深层特征, 得到预训练模型; 提出将预训练模型的梯度作为一种“特征”与传统预训练模型特征一起参与目标域网络训练过程, 从而得到状态识别模型; 利用状态概率估计法结合状态识别模型建立滚动轴承寿命预测模型. 实验验证所提方法无需构建健康指标, 可实现无监督条件下不同工况滚动轴承剩余寿命预测, 并获得较好的效果.
针对实际中某种工况滚动轴承带标签振动数据获取困难, 健康指标难以构建及寿命预测误差大的问题, 提出一种基于无监督深度模型迁移的滚动轴承剩余使用寿命(Remaining useful life, RUL)预测方法. 该方法首先对滚动轴承全寿命周期振动数据提取均方根(Root mean square, RMS)特征, 并引入新的自下而上(Bottom-up, BUP)时间序列分割算法将特征序列分割为正常期、退化期和衰退期3种状态; 对振动信号经快速傅里叶(Fast Fourier transform, FFT)变换后的幅值序列进行状态信息标记, 并将其输入到新增卷积层的全卷积神经网络(Full convolutional neural network, FCN)中, 提取深层特征, 得到预训练模型; 提出将预训练模型的梯度作为一种“特征”与传统预训练模型特征一起参与目标域网络训练过程, 从而得到状态识别模型; 利用状态概率估计法结合状态识别模型建立滚动轴承寿命预测模型. 实验验证所提方法无需构建健康指标, 可实现无监督条件下不同工况滚动轴承剩余寿命预测, 并获得较好的效果.
2023, 49(12): 2639-2644.
doi: 10.16383/j.aas.c200399
摘要:
针对串行广义特征值分解算法实时性差的缺点, 提出基于加权矩阵的多维广义特征值分解算法. 与串行算法不同, 所提算法能够在一次迭代过程中并行地估计出多维广义特征向量. 平稳点分析表明: 当且仅当算法中状态矩阵等于所需的广义特征向量时, 算法达到收敛状态. 通过对比相邻时刻的状态矩阵模值证明了所提算法的自稳定特性. 所提算法参数选取简单, 实际实施较为容易. 数值仿真和实例应用进一步验证了算法的并行性、自稳定性和实用性.
针对串行广义特征值分解算法实时性差的缺点, 提出基于加权矩阵的多维广义特征值分解算法. 与串行算法不同, 所提算法能够在一次迭代过程中并行地估计出多维广义特征向量. 平稳点分析表明: 当且仅当算法中状态矩阵等于所需的广义特征向量时, 算法达到收敛状态. 通过对比相邻时刻的状态矩阵模值证明了所提算法的自稳定特性. 所提算法参数选取简单, 实际实施较为容易. 数值仿真和实例应用进一步验证了算法的并行性、自稳定性和实用性.