• 中文核心
  • EI
  • 中国科技核心
  • Scopus
  • CSCD
  • 英国科学文摘

留言板

尊敬的读者、作者、审稿人, 关于本刊的投稿、审稿、编辑和出版的任何问题, 您可以本页添加留言。我们将尽快给您答复。谢谢您的支持!

姓名
邮箱
手机号码
标题
留言内容
验证码

中值互补集合经验模态分解

刘淞华 何冰冰 郎恂 陈启明 张榆锋 苏宏业

刘淞华, 何冰冰, 郎恂, 陈启明, 张榆锋, 苏宏业. 中值互补集合经验模态分解. 自动化学报, 2023, 49(12): 2544−2556 doi: 10.16383/j.aas.c201031
引用本文: 刘淞华, 何冰冰, 郎恂, 陈启明, 张榆锋, 苏宏业. 中值互补集合经验模态分解. 自动化学报, 2023, 49(12): 2544−2556 doi: 10.16383/j.aas.c201031
Liu Song-Hua, He Bing-Bing, Lang Xun, Chen Qi-Ming, Zhang Yu-Feng, Su Hong-Ye. Median complementary ensemble empirical mode decomposition. Acta Automatica Sinica, 2023, 49(12): 2544−2556 doi: 10.16383/j.aas.c201031
Citation: Liu Song-Hua, He Bing-Bing, Lang Xun, Chen Qi-Ming, Zhang Yu-Feng, Su Hong-Ye. Median complementary ensemble empirical mode decomposition. Acta Automatica Sinica, 2023, 49(12): 2544−2556 doi: 10.16383/j.aas.c201031

中值互补集合经验模态分解

doi: 10.16383/j.aas.c201031
基金项目: 国家自然科学基金(81771928, 62003298), 云南省基础研究计划重点项目(202101AS070031), 中国博士后科学基金资助项目(2020M683389)资助
详细信息
    作者简介:

    刘淞华:云南大学信息学院博士研究生. 主要研究方向为数据驱动故障检测与诊断, 微弱信号检测与处理. E-mail: liusonghuayn@126.com

    何冰冰:云南大学信息学院讲师. 主要研究方向为超声平面波血流信号处理. E-mail: he_bing_bing123@126.com

    郎恂:云南大学信息学院副教授. 主要研究方向为数据驱动故障检测与诊断, 时频分析和医学信号处理. 本文通信作者. E-mail: langxun@ynu.edu.cn

    陈启明:浙江大学工业控制技术国家重点实验室博士研究生. 主要研究方向为信号分解, 时频分析和故障诊断. E-mail: chenqiming@zju.edu.cn

    张榆锋:云南大学信息学院教授. 主要研究方向为数字信号处理理论, 微弱信号检测和医学超声工程. E-mail: zhangyf@ynu.edu.cn

    苏宏业:浙江大学工业控制技术国家重点实验室教授. 主要研究方向为控制理论与应用, 复杂过程先进控制和优化技术, 先进控制软件开发及应用. E-mail: hysu69@zju.edu.cn

Median Complementary Ensemble Empirical Mode Decomposition

Funds: Supported by National Natural Science Foundation of China (81771928, 62003298), Key Project of Fundamental Research of Yunnan Province (202101AS070031), and China Postdoctoral Science Foundation (2020M683389)
More Information
    Author Bio:

    LIU Song-Hua Ph.D. candidate at the School of Information, Yunnan University. His research interest covers data-driven fault detection and diagnosis, and weak signal detection and processing

    HE Bing-Bing Lecturer at the School of Information, Yunnan University. Her main research interest is ultrasonic plane wave blood flow signal processing

    LANG Xun Associate professor at the School of Information, Yunnan University. His research interest covers data-driven fault detection and diagnosis, time-frequency analysis, and medical signal processing. Corresponding author of this paper

    CHEN Qi-Ming Ph.D. candidate at the State Key Laboratory of Industrial Control Technology, Zhejiang University. His research interest covers signal decomposition, time-frequency analysis, and fault diagnosis

    ZHANG Yu-Feng Professor at the School of Information, Yunnan University. His research interest covers digital signal processing theory, weak signal detection, and medical ultrasound engineering

    SU Hong-Ye Professor at the State Key Laboratory of Industrial Control Technology, Zhejiang University. His research interest covers control theory and application, complex process advanced control and optimization technology, and the software development and application of advanced control

  • 摘要: 针对经验模态分解(Empirical mode decomposition, EMD)系列方法存在的模态分裂(Mode splitting, MS)问题, 提出中值互补集合经验模态分解(Median complementary ensemble EMD, MCEEMD)算法. 通过概率模型量化互补集合经验模态分解(Complementary ensemble EMD, CEEMD)的MS问题, 证明了使用中值算子替代算术平均算子对抑制MS的有效性. 为了兼具抑制MS和残留噪声的性能, MCEEMD算法首次在集合过程中结合了中值和平均算子. 具体地, 所提方法首先添加N对互补的白噪声至原信号中, 并经过EMD分解得到2N组固有模态函数(Intrinsic mode functions, IMFs), 然后分别对其中互补相关的IMFs两两取平均得到N组IMFs, 最后使用中值算子处理上述N组IMFs得到输出结果. 对仿真信号与两个真实案例的分析结果表明, 本文提出的MCEEMD方法不仅有效抑制了CEEMD的MS问题, 而且避免了单一使用中值算子的两个缺点: 分解完备性差和IMFs中存在的毛刺现象.
  • 图  1  EMD分解噪声辅助信号得到的前5个互补IMFs

    Fig.  1  The first five complementary IMFs obtained from the noise-assisted signal through EMD

    图  2  互补IMFs (由噪声辅助信号得到)的${p_i}(f)$和${r_i}(f)$曲线

    Fig.  2  The curves ${p_i}(f)$ and ${r_i}(f)$ corresponding to the complementary IMFs (obtained from the noise-assisted signal)

    图  3  互补IMFs (由噪声辅助信号得到)的${P_i}(f)$曲线

    Fig.  3  The curves ${P_i}(f)$ corresponding to the complementary IMFs (obtained from the noise-assisted signal)

    图  4  不同算子处理互补IMFs集合得到的$MSD(f)$曲线

    Fig.  4  Curves of $MSD(f)$ obtained by processing the complementary IMFs with different operators

    图  5  MCEEMD算法框图

    Fig.  5  The block diagram of the MCEEMD algorithm

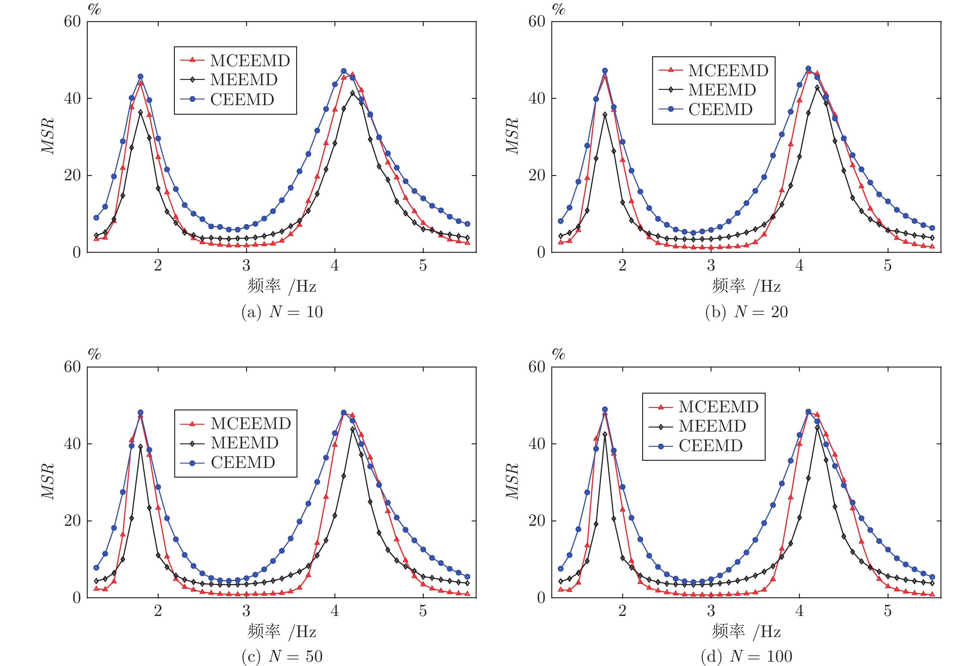
    图  6  不同集合尺寸下CEEMD、MEEMD和MCEEMD的$MSR(f)$曲线

    Fig.  6  $MSR(f)$curves for different ensemble sizes within CEEMD, MEEMD and MCEEMD

    图  7  MCEEMD、MEEMD和CEEMD在不同集合尺寸下的$SDR(N)$曲线

    Fig.  7  $SDR(N)$ curves for different ensemble sizes within MCEEMD, MEEMD and CEEMD

    图  8  4种方法分解仿真信号所得的前5个IMF

    Fig.  8  The first five IMFs obtained by decomposing the simulated signal by four methods

    图  9  MEEMD、MCEEMD分解结果中的${d_{\rm{2}}}$模态

    Fig.  9  The${d_{\rm{2}}}$mode in the decomposition results of MEEMD and MCEEMD

    图  10  4种方法分解结果的PSD

    Fig.  10  The PSD curves of the decomposition results from the four methods

    图  11  MCEEMD分解血流信号所得的前8个分量

    Fig.  11  The first eight components of the blood flow signal decomposed by MCEEMD

    图  12  原始信号的频率归一化功率谱

    Fig.  12  The frequency normalized PSD of the original signal

    图  13  EEMD、CEEMD、MEEMD和MCEEMD提取的血流成分频率归一化功率谱

    Fig.  13  Frequency normalized PSD of the blood flow component extracted by EEMD, CEEMD, MEEMD, and MCEEMD, respectively

    表  1  4种方法的性能指标

    Table  1  Performance indicators of the four methods

    方法PCCRMSEPSD面积比 (%)
    EEMD0.95680.30870.28
    CEEMD0.99860.00310.21
    MEEMD0.72931.29380.24
    MCEEMD0.99800.16140.14
    下载: 导出CSV

    表  2  4种方法的计算时间

    Table  2  Calculation time of the four methods

    方法 计算时间 (s)
    EEMD14.32
    CEEMD28.95
    MEEMD14.58
    MCEEMD29.01
    下载: 导出CSV
  • [1] Huang N E, Shen Z, Long S R, Wu M C, Shih H H, Zheng Q, et al. The empirical mode decomposition and the Hilbert spectrum for nonlinear and non-stationary time series analysis. Proceedings Mathematical Physical & Engineering ences, 1998, 454(1971): 903-995. doi: 10.1098/rspa.1998.0193
    [2] Mandic D P, Rehman N U, Wu Z, Huang N E. Empirical mode decomposition-based time-frequency analysis of multivariate signals: the power of adaptive data analysis. Signal Processing Magazine IEEE, 2013, 30(6): 74-86. doi: 10.1109/MSP.2013.2267931
    [3] 杨默涵, 陈万忠, 李明阳. 基于总体经验模态分解的多类特征的运动想象脑电识别方法研究. 自动化学报, 2017, 43(5): 743−752.

    Yang Mo-Han, Chen Wan-Zhong, Li Ming-Yang. Multiple feature extraction based on ensemble empirical mode decomposition for motor imagery EEG recognition tasks. Acta Automatica Sinica, 2017, 43(5): 743-752.
    [4] Lang X, Lu S, Xie L, Zakharov A, Zhong D, Sirkka-Liisa Jämsä-Jounela. Bihocerence based industrial control loop nonlinearity detection and diagnosis in short nonstationary time series. Journal of Process Control, 2018, 63: 15-28. doi: 10.1016/j.jprocont.2018.01.001
    [5] Lang X, Zhang Y F, Xie L, Jin X, Horch A, Su H Y. Use of fast multivariate empirical mode decomposition for oscillation monitoring in noisy process plant. Industrial & Engineering Chemistry Research, 2020, 59(25): 11537-51. doi: 10.1021/acs.iecr.9b06351
    [6] Devi A S, Maragatham G, Boopathi K, Rangaraj A G. Hourly day-ahead wind power forecasting with the EEMD-CSO-LSTM-EFG deep learning technique. Soft Computing, 2020, 24(16): 12391-12411. doi: 10.1007/s00500-020-04680-7
    [7] 李霞, 卢官明, 闫静杰, 张正言. 多模态维度情感预测综述. 自动化学报, 2018, 44(12): 2142-2159.

    Li Xia, Lu Guan-Ming, Yan Jing-Jie, Zhang Zheng-Yan. A survey of dimensional emotion prediction by multimodal cues. Acta Automatica Sinica, 2018, 44(12): 2142-2159.
    [8] Wu Z, Huang N E. Ensemble empirical mode decomposition: a noise-assisted data analysis method. Advances in Adaptive Data Analysis, 2009, 1(1): 1-41. doi: 10.1142/S1793536909000047
    [9] Flandrin P, Rilling G, Goncalves P. Empirical mode decomposition as a filter bank. IEEE signal processing letters, 2004, 11(2): 112-114. doi: 10.1109/LSP.2003.821662
    [10] Yeh J R, Shieh J S, Huang N E. Complementary ensemble empirical mode decomposition: A novel noise enhanced data analysis method. Advances in Adaptive Data Analysis, 2010, 02(02): 135-156. doi: 10.1142/S1793536910000422
    [11] Torres M E, Colominas M A, Schlotthauer G, Flandrin P. A complete ensemble empirical mode decomposition with adaptive noise. In: Proceedings of the IEEE International Conference on Acoustics, Speech and Signal Processing (ICASSP). Prague, Czech Republic: IEEE, 2011. 4144−4147
    [12] Rehman N, Mandic D P. Multivariate empirical mode decomposition. Proceedings of the Royal Society A: Mathematical, Physical and Engineering Sciences, 2010, 466(2117): 1291-1302. doi: 10.1098/rspa.2009.0502
    [13] Lang X, Zheng Q, Zhang Z M, Lu S, Xie L. Fast multivariate empirical mode decomposition. IEEE Access, 2018, 6: 65521-65538. doi: 10.1109/ACCESS.2018.2877150
    [14] Lang X, ur Rehman N, Zhang Y F, Xie L, Su H Y. Median Ensemble Empirical Mode Decomposition. Signal Processing, 2020, 176: 107686. doi: 10.1016/j.sigpro.2020.107686
    [15] Cheng J S, Yu D J, Tang J S, Yang Y. Application of SVM and SVD technique based on EMD to the fault diagnosis of the rotating machinery. Shock and Vibration, 2009, 16(1): 89-98. doi: 10.1155/2009/519502
    [16] 赵春晖, 余万科, 高福荣. 非平稳间歇过程数据解析与状态监控 —回顾与展望. 自动化学报, 2020, 46(10): 2072−2091. doi: 10.16383/j.aas.c190586

    Zhao Chun-Hui, Yu Wan-Ke, Gao Fu-Rong. Data analytics and condition monitoring methods for nonstationary batch processes — current status and future. Acta Automatica Sinica, 2020, 46(10): 2072−2091. doi: 10.16383/j.aas.c190586
    [17] 周成江, 吴建德, 杨静宗. 基于CEEMD-SVD-LSSVM的矿浆管线核心设备故障诊断. 云南大学学报自然科学版, 2018, 40(05): 886-896.

    Zhou Cheng-Jiang, Wu Jian-De, Yang Jing-Zong. Fault diagnosis of core equipment of slurry pipeline based on CEEMD-SVD-LSSVM. Journal of Yunnan University Natural Sciences Edition, 2018, 40(05): 886-896.
    [18] 罗继辉, 黄国勇. 基于广义S变换和深度置信网络的单向阀故障诊断. 电子测量与仪器学报, 2019, 33 (09): 197-203.

    Luo Ji-Zhong, Huang Guo-Yong. Check valve fault diagnosis based on generalized S-transform and deep belief network. Journal of Electronic Measurement and Instrumentation, 2019, 33 (09): 197-203.
    [19] He B B, Zhang Y F, Zhang K X, Chen J H, Zhang J H, Liang H. Optimum speckle tracking based on ultrafast ultrasound for improving blood flow velocimetry. IEEE Transactions on Ultrasonics, Ferroelectrics, and Frequency Control, 2020, 68(3): 494-509.
    [20] 夏平, 施宇, 雷帮军, 龚国强, 胡蓉, 师冬霞. 复小波域混合概率图模型的超声医学图像分割. 自动化学报, 2021, 47(1): 185-196.

    Xia Ping, Shi Yu, Lei Bang-Jun, Gong Guo-Qiang, Hu Rong, Shi Dong-Xia. Ultrasound medical image segmentation based on hybrid probabilistic graphical model in complex-wavelet domain. Acta Automatica Sinica, 2021, 47(1): 185-196.
    [21] 林文晶, 张榆锋, 章克信, 李支尧, 李海燕, 高莲, 等. 总体经验模态细分法提取血流超声多普勒信号的研究. 电子学报, 2014, 42(007): 1424-1428.

    Lin Wen-Jing, Zhang Yu-Feng, Zhang Ke-Xin, Li Zhi-Yao, Li Hai-Yan, Gao Lian, et al. Extraction of doppler ultrasound blood signals using the delicate separation method based on the EEMD algorithm. Acta Electronica Sinica, 2014, 42(007): 1424-1428.
    [22] Zhang Y F, Gao Y L, Wang L, Chen J H, Shi X L. The removal of wall components in Doppler ultrasound signals by using the empirical mode decomposition algorithm. IEEE Transactions on Biomedical Engineering, 2007, 54(9): 1631-1642. doi: 10.1109/TBME.2007.891936
    [23] Majd S M M T, Asl B M. Adaptive spectral doppler estimation based on the modified amplitude spectrum capon. IEEE Transactions on Ultrasonics, Ferroelectrics, and Frequency Control, 2021, 68(5): 1664-1675. doi: 10.1109/TUFFC.2020.3044774
    [24] Lang X, Zheng Q, Xie L, Horch A, Su H Y. Direct Multivariate Intrinsic Time-Scale Decomposition for Oscillation Monitoring. IEEE Transactions on Control Systems Technology, 2020, 28(6): 2608-2615. doi: 10.1109/TCST.2019.2940374
    [25] Xie X Y, Liu H, Shu M L, Zhu Q, Huang A P, Kong X Q, et al. A multi-stage denoising framework for ambulatory ECG signal based on domain knowledge and motion artifact detection. Future Generation Computer Systems, 2021, 116: 103-116. doi: 10.1016/j.future.2020.10.024
  • 加载中
图(13) / 表(2)
计量
  • 文章访问数:  2288
  • HTML全文浏览量:  622
  • PDF下载量:  178
  • 被引次数: 0
出版历程
  • 收稿日期:  2020-12-13
  • 录用日期:  2021-05-28
  • 网络出版日期:  2021-07-09
  • 刊出日期:  2023-12-27

目录

    /

    返回文章
    返回