2019年 第45卷 第11期
2019, 45(11): 2001-2031.
doi: 10.16383/j.aas.2019.y000002
cstr: 32138.14.j.aas.2019.y000002
摘要:
随着物联网、大数据、人工智能(Artificial intelligence,AI)等技术的发展,针对促进新一代信息技术与制造业深度融合、实现制造物理世界与信息世界交互与共融的需要,数字孪生和平行系统技术成为智能制造和复杂系统管理与控制领域研究的热点.本文对数字孪生和平行系统技术的基本概念、技术内涵、相关应用等进行了研究与总结,对比了两者之间的异同,并分析了两者的发展趋势,预期能够给复杂系统管理与控制领域的研究人员提供一定的参考和借鉴.
随着物联网、大数据、人工智能(Artificial intelligence,AI)等技术的发展,针对促进新一代信息技术与制造业深度融合、实现制造物理世界与信息世界交互与共融的需要,数字孪生和平行系统技术成为智能制造和复杂系统管理与控制领域研究的热点.本文对数字孪生和平行系统技术的基本概念、技术内涵、相关应用等进行了研究与总结,对比了两者之间的异同,并分析了两者的发展趋势,预期能够给复杂系统管理与控制领域的研究人员提供一定的参考和借鉴.
2019, 45(11): 2032-2049.
doi: 10.16383/j.aas.c180154
cstr: 32138.14.j.aas.c180154
摘要:
行人重识别是计算机视觉领域近年来非常热的一个研究课题,可以被视为图像检索的一个子问题,其目标是给定一个监控行人图像检索跨设备下的该行人图像.传统的方法依赖手工特征,不能适应数据量很大的复杂环境.近年来随着深度学习的发展,大量基于深度学习的行人重识别方法被提出.本文先简单介绍了该问题的定义及传统方法的局限,并列举了一些适用于深度学习方法的行人重识别数据集.此外我们详细地总结了一些比较典型的基于深度学习的行人重识别方法,并比较了部分算法在Market1501数据集上的性能表现.最后我们对该问题未来的研究方向做了一个展望.
行人重识别是计算机视觉领域近年来非常热的一个研究课题,可以被视为图像检索的一个子问题,其目标是给定一个监控行人图像检索跨设备下的该行人图像.传统的方法依赖手工特征,不能适应数据量很大的复杂环境.近年来随着深度学习的发展,大量基于深度学习的行人重识别方法被提出.本文先简单介绍了该问题的定义及传统方法的局限,并列举了一些适用于深度学习方法的行人重识别数据集.此外我们详细地总结了一些比较典型的基于深度学习的行人重识别方法,并比较了部分算法在Market1501数据集上的性能表现.最后我们对该问题未来的研究方向做了一个展望.
2019, 45(11): 2050-2057.
doi: 10.16383/j.aas.c190126
cstr: 32138.14.j.aas.c190126
摘要:
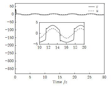
研究了针对执行器非光滑反向间隙-饱和约束特性的深海柔性立管系统振动控制和全局稳定问题.为了实现控制效果和品质,引入辅助系统和函数设计边界控制策略,以抑制立管系统振动并消除混合的反向间隙-饱和输入非线性影响.采用严格的分析且无需求助于模型降阶,所研发的控制器确保闭环系统在Lyapunov意义下的一致有界稳定性.通过选取恰当的设计参数,仿真结果验证了所设计控制器的控制性能.能.
研究了针对执行器非光滑反向间隙-饱和约束特性的深海柔性立管系统振动控制和全局稳定问题.为了实现控制效果和品质,引入辅助系统和函数设计边界控制策略,以抑制立管系统振动并消除混合的反向间隙-饱和输入非线性影响.采用严格的分析且无需求助于模型降阶,所研发的控制器确保闭环系统在Lyapunov意义下的一致有界稳定性.通过选取恰当的设计参数,仿真结果验证了所设计控制器的控制性能.能.
2019, 45(11): 2058-2070.
doi: 10.16383/j.aas.c170154
cstr: 32138.14.j.aas.c170154
摘要:
显著性检测是近年来国内外计算机视觉领域研究的热点问题,在图像压缩、目标识别与跟踪、场景分类等领域具有广泛的应用.针对大多显著性检测方法只针对单个目标且鲁棒性不强这一问题,本文提出一种基于深度特征的显著性检测方法.首先,在多个尺度上对输入图像进行超像素分割,利用目标先验知识对预显著区域进行提取和优化.然后,采用卷积神经网络提取预选目标区域的深度特征.对高维深度特征进行主成分分析并计算显著性值.最后,提出一种改进的加权多层元胞自动机方法,对多尺度分割显著图进行融合优化,得到最终显著图.在公开标准数据集SED2和HKU_IS的实验表明,与现有经典显著性检测方法相比,本文方法对多显著目标检测更准确.
显著性检测是近年来国内外计算机视觉领域研究的热点问题,在图像压缩、目标识别与跟踪、场景分类等领域具有广泛的应用.针对大多显著性检测方法只针对单个目标且鲁棒性不强这一问题,本文提出一种基于深度特征的显著性检测方法.首先,在多个尺度上对输入图像进行超像素分割,利用目标先验知识对预显著区域进行提取和优化.然后,采用卷积神经网络提取预选目标区域的深度特征.对高维深度特征进行主成分分析并计算显著性值.最后,提出一种改进的加权多层元胞自动机方法,对多尺度分割显著图进行融合优化,得到最终显著图.在公开标准数据集SED2和HKU_IS的实验表明,与现有经典显著性检测方法相比,本文方法对多显著目标检测更准确.
2019, 45(11): 2071-2081.
doi: 10.16383/j.aas.2018.c170412
cstr: 32138.14.j.aas.2018.c170412
摘要:
过程运行状态评价旨在实时判断运行性能优劣程度,并追溯导致非优运行状态的原因,指导操作人员进行生产调整,保证企业经济效益.因此,对过程运行性能优劣评价的研究具有重要的理论和应用价值.本文针对定量、定性变量共存的流程工业过程运行状态评价问题,提出基于两层分块混合模型的评价方法.将流程工业过程根据其物理特性和管理方向划分子块,产生子块层和全流程层.在定量信息占主导地位的子块内,建立定量的高斯混合模型(Gaussian mixture model,GMM).在定性信息占主导地位的子块内,建立定性概率粗糙集(Probabilistic rough set,PRS)模型.综合各子块运行状态信息,进一步判定全流程运行状态等级.针对非优运行状态等级,本文提出基于贡献率的非优原因追溯方法,在非优子块内进行原因追溯.最后,将所提方法应用于某黄金湿法冶炼生产过程,说明所提方法的可行性和有效性.
过程运行状态评价旨在实时判断运行性能优劣程度,并追溯导致非优运行状态的原因,指导操作人员进行生产调整,保证企业经济效益.因此,对过程运行性能优劣评价的研究具有重要的理论和应用价值.本文针对定量、定性变量共存的流程工业过程运行状态评价问题,提出基于两层分块混合模型的评价方法.将流程工业过程根据其物理特性和管理方向划分子块,产生子块层和全流程层.在定量信息占主导地位的子块内,建立定量的高斯混合模型(Gaussian mixture model,GMM).在定性信息占主导地位的子块内,建立定性概率粗糙集(Probabilistic rough set,PRS)模型.综合各子块运行状态信息,进一步判定全流程运行状态等级.针对非优运行状态等级,本文提出基于贡献率的非优原因追溯方法,在非优子块内进行原因追溯.最后,将所提方法应用于某黄金湿法冶炼生产过程,说明所提方法的可行性和有效性.
2019, 45(11): 2082-2091.
doi: 10.16383/j.aas.c170546
cstr: 32138.14.j.aas.c170546
摘要:
目前压缩感知系统利用少量测量值使用迭代优化算法重构图像.在重构过程中,迭代重构算法需要进行复杂的迭代运算和较长的重构时间.本文提出了多尺度残差网络结构,利用测量值通过网络重构出图像.网络中引入多尺度扩张卷积层用来提取图像中不同尺度的特征,利用这些特征信息重构高质量图像.最后,将网络的输出与测量值进行优化,使得重构图像在测量矩阵上的投影与测量值更加接近.实验结果表明,本文算法在重构质量和重构时间上均有明显优势.
目前压缩感知系统利用少量测量值使用迭代优化算法重构图像.在重构过程中,迭代重构算法需要进行复杂的迭代运算和较长的重构时间.本文提出了多尺度残差网络结构,利用测量值通过网络重构出图像.网络中引入多尺度扩张卷积层用来提取图像中不同尺度的特征,利用这些特征信息重构高质量图像.最后,将网络的输出与测量值进行优化,使得重构图像在测量矩阵上的投影与测量值更加接近.实验结果表明,本文算法在重构质量和重构时间上均有明显优势.
2019, 45(11): 2092-2106.
doi: 10.16383/j.aas.c190124
cstr: 32138.14.j.aas.c190124
摘要:
针对现有立体图像质量评价算法对非对称失真立体图像的评价准确性及执行效率较低的问题,提出一种基于眼优势的非对称失真立体图像质量评价算法.首先采用梯度幅值响应来模拟左右眼输入的刺激强度,并根据人类视觉系统的眼优势原理分别以左和右视点图像作为主视图合成两幅融合图像;其次,利用旋转不变统一局部二值模式直方图、皮尔逊线性相关系数以及非对称广义高斯模型,获取左右融合图像以及左右梯度幅值响应图像中的多种能够反映立体图像质量好坏的特征;最后,利用自适应增强的支持向量回归模型将感知特征向量映射为图像质量值.在四个基准测试数据库上的实验结果表明:本文所提出算法大幅提升了非对称失真立体图像的评价准确性,且具有较高的执行效率.这些优势说明本文算法所提取的特征描述能力更强,质量映射模型的稳定性更好.
针对现有立体图像质量评价算法对非对称失真立体图像的评价准确性及执行效率较低的问题,提出一种基于眼优势的非对称失真立体图像质量评价算法.首先采用梯度幅值响应来模拟左右眼输入的刺激强度,并根据人类视觉系统的眼优势原理分别以左和右视点图像作为主视图合成两幅融合图像;其次,利用旋转不变统一局部二值模式直方图、皮尔逊线性相关系数以及非对称广义高斯模型,获取左右融合图像以及左右梯度幅值响应图像中的多种能够反映立体图像质量好坏的特征;最后,利用自适应增强的支持向量回归模型将感知特征向量映射为图像质量值.在四个基准测试数据库上的实验结果表明:本文所提出算法大幅提升了非对称失真立体图像的评价准确性,且具有较高的执行效率.这些优势说明本文算法所提取的特征描述能力更强,质量映射模型的稳定性更好.
2019, 45(11): 2107-2127.
doi: 10.16383/j.aas.c180617
cstr: 32138.14.j.aas.c180617
摘要:
长期以来,孤立点的检测一直聚焦于簇边缘的离散点,当聚类后簇的数目低于实际数目,或孤立点被伪装在簇内的情况下,簇内孤立点的判定则会更加困难.为判定簇内孤立点,提出一种基于密度聚类DBSCAN(Density based spatial clustering of application with noise)的簇内孤立点检测方法ODIC-DBSCAN(Outlier detection of inner-cluster based on DBSCAN).首先在建立距离矩阵的基础上,通过半径获取策略得到针对该点集的k个有效半径Radius集合,并据此构造密度矩阵;然后建立点集覆盖模型,提出了相邻有效半径构造的覆盖多维体能够覆盖点集的思想,并通过拉格朗日乘子法求取最优的覆盖多维体数目之比,输出点比阈值组;最后重建ODIC-DBSCAN的孤立点检测方法,以簇发生融合现象作为算法终止的判定条件.实验通过模拟数据集,公开benchmark与UCI数据集共同验证了ODIC-DBSCAN算法,展示了聚类过程;分析了算法性能;并通过与其他聚类、孤立点判定方法的对比,验证了算法对簇内孤立点的判定效果.
长期以来,孤立点的检测一直聚焦于簇边缘的离散点,当聚类后簇的数目低于实际数目,或孤立点被伪装在簇内的情况下,簇内孤立点的判定则会更加困难.为判定簇内孤立点,提出一种基于密度聚类DBSCAN(Density based spatial clustering of application with noise)的簇内孤立点检测方法ODIC-DBSCAN(Outlier detection of inner-cluster based on DBSCAN).首先在建立距离矩阵的基础上,通过半径获取策略得到针对该点集的k个有效半径Radius集合,并据此构造密度矩阵;然后建立点集覆盖模型,提出了相邻有效半径构造的覆盖多维体能够覆盖点集的思想,并通过拉格朗日乘子法求取最优的覆盖多维体数目之比,输出点比阈值组;最后重建ODIC-DBSCAN的孤立点检测方法,以簇发生融合现象作为算法终止的判定条件.实验通过模拟数据集,公开benchmark与UCI数据集共同验证了ODIC-DBSCAN算法,展示了聚类过程;分析了算法性能;并通过与其他聚类、孤立点判定方法的对比,验证了算法对簇内孤立点的判定效果.
2019, 45(11): 2128-2136.
doi: 10.16383/j.aas.c190414
cstr: 32138.14.j.aas.c190414
摘要:
针对一类考虑指定性能和带有输入死区约束的严格反馈非线性系统,本文提出了一种自适应模糊最优控制方法.采用模糊逻辑系统逼近系统的未知非线性函数及代价函数,利用backstepping方法及命令滤波技术,设计前馈控制器.针对仿射形式的误差系统,结合自适应动态规划技术,设计最优反馈控制器.采用指定性能控制方法,将系统跟踪误差约束在指定范围内.利用死区斜率信息解决具有死区输入的非线性系统的控制问题.基于Lyapunov稳定性理论,证明闭环系统内所有信号是一致最终有界的.最后仿真结果验证了本文方法的可行性和有效性.
针对一类考虑指定性能和带有输入死区约束的严格反馈非线性系统,本文提出了一种自适应模糊最优控制方法.采用模糊逻辑系统逼近系统的未知非线性函数及代价函数,利用backstepping方法及命令滤波技术,设计前馈控制器.针对仿射形式的误差系统,结合自适应动态规划技术,设计最优反馈控制器.采用指定性能控制方法,将系统跟踪误差约束在指定范围内.利用死区斜率信息解决具有死区输入的非线性系统的控制问题.基于Lyapunov稳定性理论,证明闭环系统内所有信号是一致最终有界的.最后仿真结果验证了本文方法的可行性和有效性.
2019, 45(11): 2137-2147.
doi: 10.16383/j.aas.c170711
cstr: 32138.14.j.aas.c170711
摘要:
恐怖组织网络是一种特殊的复杂网络,其时空演化规律反映出恐怖组织活动的特征.为更准确地理解恐怖组织网络的动态演化规律,提出一种基于多局域的恐怖组织网络择优增长演化模型,并对此模型进行了仿真与模拟.该模型能准确地描述在局部信息条件下,新节点的择优和网络的增长过程及其规律;并且利用网络信息中心度来衡量恐怖组织网络节点的信念水平,动态地刻画了恐怖组织网络的增长过程.实验结果表明:恐怖组织网络的局域度分布仍服从幂律分布,网络信息中心度具有集中与分散性的特征;最后,对多个恐怖组织网络按该模型进行仿真演化,验证了该模型的准确性与科学性.
恐怖组织网络是一种特殊的复杂网络,其时空演化规律反映出恐怖组织活动的特征.为更准确地理解恐怖组织网络的动态演化规律,提出一种基于多局域的恐怖组织网络择优增长演化模型,并对此模型进行了仿真与模拟.该模型能准确地描述在局部信息条件下,新节点的择优和网络的增长过程及其规律;并且利用网络信息中心度来衡量恐怖组织网络节点的信念水平,动态地刻画了恐怖组织网络的增长过程.实验结果表明:恐怖组织网络的局域度分布仍服从幂律分布,网络信息中心度具有集中与分散性的特征;最后,对多个恐怖组织网络按该模型进行仿真演化,验证了该模型的准确性与科学性.
2019, 45(11): 2148-2158.
doi: 10.16383/j.aas.2018.c170535
cstr: 32138.14.j.aas.2018.c170535
摘要:
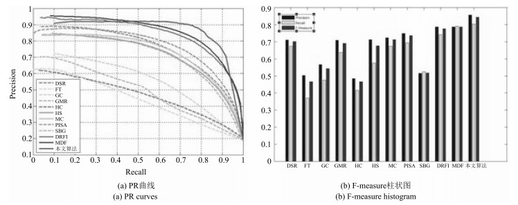
为了准确检测复杂背景下的显著区域,提出一种全卷积神经网络与低秩稀疏分解相结合的显著性检测方法,将图像分解为代表背景的低秩矩阵和对应显著区域的稀疏噪声,结合利用全卷积神经网络学习得到的高层语义先验知识,检测图像中的显著区域.首先,对原图像进行超像素聚类,并提取每个超像素的颜色、纹理和边缘特征,据此构成特征矩阵;然后,在MSRA数据库中,基于梯度下降法学习得到特征变换矩阵,利用全卷积神经网络学习得到高层语义先验知识;接着,利用特征变换矩阵和高层语义先验知识矩阵对特征矩阵进行变换;最后,利用鲁棒主成分分析算法对变换后的矩阵进行低秩稀疏分解,并根据分解得到的稀疏噪声计算显著图.在公开数据集上进行实验验证,并与当前流行的方法进行对比,实验结果表明,本文方法能够准确地检测感兴趣区域,是一种有效的自然图像目标检测与分割的预处理方法.
为了准确检测复杂背景下的显著区域,提出一种全卷积神经网络与低秩稀疏分解相结合的显著性检测方法,将图像分解为代表背景的低秩矩阵和对应显著区域的稀疏噪声,结合利用全卷积神经网络学习得到的高层语义先验知识,检测图像中的显著区域.首先,对原图像进行超像素聚类,并提取每个超像素的颜色、纹理和边缘特征,据此构成特征矩阵;然后,在MSRA数据库中,基于梯度下降法学习得到特征变换矩阵,利用全卷积神经网络学习得到高层语义先验知识;接着,利用特征变换矩阵和高层语义先验知识矩阵对特征矩阵进行变换;最后,利用鲁棒主成分分析算法对变换后的矩阵进行低秩稀疏分解,并根据分解得到的稀疏噪声计算显著图.在公开数据集上进行实验验证,并与当前流行的方法进行对比,实验结果表明,本文方法能够准确地检测感兴趣区域,是一种有效的自然图像目标检测与分割的预处理方法.
2019, 45(11): 2159-2170.
doi: 10.16383/j.aas.2018.c170233
cstr: 32138.14.j.aas.2018.c170233
摘要:
针对利用单幅低动态范围(Low dynamic range,LDR)图像生成高动态范围(High dynamic range,HDR)图像细节信息不足的问题,本文提出了一种基于细节层分离的单曝光HDR图像生成算法.该算法基于人类视觉系统模型,首先分别提取出LDR图像的亮度分量和色度分量,对伽马校正后的亮度分量进行双边滤波,提取出亮度分量的基本层,再对基本层和亮度分量进行遍历运算,得到亮度分量的细节层;然后,构造反色调映射函数,分别对细节层和伽马校正后的亮度图像进行扩展,得到各自的反色调映图像;之后,将反色调映射后亮度分量与压缩后的细节层进行融合,得到新的亮度分量.最后,融合色度分量与新的亮度分量,并对融合后图像进行去噪,得到最终的HDR图像.实验表明该算法能挖掘出部分隐藏的图像细节信息,处理效果较好,运行效率高,具有较好的鲁棒性.
针对利用单幅低动态范围(Low dynamic range,LDR)图像生成高动态范围(High dynamic range,HDR)图像细节信息不足的问题,本文提出了一种基于细节层分离的单曝光HDR图像生成算法.该算法基于人类视觉系统模型,首先分别提取出LDR图像的亮度分量和色度分量,对伽马校正后的亮度分量进行双边滤波,提取出亮度分量的基本层,再对基本层和亮度分量进行遍历运算,得到亮度分量的细节层;然后,构造反色调映射函数,分别对细节层和伽马校正后的亮度图像进行扩展,得到各自的反色调映图像;之后,将反色调映射后亮度分量与压缩后的细节层进行融合,得到新的亮度分量.最后,融合色度分量与新的亮度分量,并对融合后图像进行去噪,得到最终的HDR图像.实验表明该算法能挖掘出部分隐藏的图像细节信息,处理效果较好,运行效率高,具有较好的鲁棒性.
2019, 45(11): 2171-2177.
doi: 10.16383/j.aas.c180465
cstr: 32138.14.j.aas.c180465
摘要:
在热力管网中,膨胀节作为缓冲管道的关键部分,极易因变形扭曲引发泄漏故障,进而致使热网瘫痪.实时准确测量膨胀节的膨胀是评估管网健康状态的有效途径.对此,本文提出一种基于分布式光纤传感技术的膨胀节膨胀量的新型检测方法,建立了膨胀量检测模型,并通过实验验证了方法的有效性.研究结果表明,测量误差随着光纤绕制圈数增大而减小,通过调节绕制圈数,可以将误差范围控制在3%以内.这不仅为热网膨胀节的膨胀量检测提出了一种新思路,同时也为分布式光纤传感技术在热网健康状态检测领域的应用奠定了一定的理论基础.
在热力管网中,膨胀节作为缓冲管道的关键部分,极易因变形扭曲引发泄漏故障,进而致使热网瘫痪.实时准确测量膨胀节的膨胀是评估管网健康状态的有效途径.对此,本文提出一种基于分布式光纤传感技术的膨胀节膨胀量的新型检测方法,建立了膨胀量检测模型,并通过实验验证了方法的有效性.研究结果表明,测量误差随着光纤绕制圈数增大而减小,通过调节绕制圈数,可以将误差范围控制在3%以内.这不仅为热网膨胀节的膨胀量检测提出了一种新思路,同时也为分布式光纤传感技术在热网健康状态检测领域的应用奠定了一定的理论基础.
2019, 45(11): 2178-2186.
doi: 10.16383/j.aas.2018.c170439
cstr: 32138.14.j.aas.2018.c170439
摘要:
在机器视觉感知系统中,从不完整的被遮挡的目标对象中鲁棒重建三维场景及其语义信息至关重要.目前常用方法一般将这两个功能分开处理,本文将二者结合,提出了一种基于深度图及分离池化技术的场景复原及语义分类网络,依据深度图中的RGB-D信息,完成对三维目标场景的重建与分类.首先,构建了一种CPU端到GPU端的深度卷积神经网络模型,将从传感器采样的深度图像作为输入,深度学习摄像机投影区域内的上下文目标场景信息,网络的输出为使用改进的截断式带符号距离函数(Truncated signed distance function,TSDF)编码后的体素级语义标注.然后,使用分离池化技术改进卷积神经网络的池化层粒度结构,设计带细粒度池化的语义分类损失函数,用于回馈网络的语义分类重定位.最后,为增强卷积神经网络的深度学习能力,构建了一种带有语义标注的三维目标场景数据集,以此加强本文所提网络的深度学习鲁棒性.实验结果表明,与目前较先进的网络模型对比,本文网络的重建规模扩大了2.1%,所提深度卷积网络对缺失场景的复原效果较好,同时保证了语义分类的精准度.
在机器视觉感知系统中,从不完整的被遮挡的目标对象中鲁棒重建三维场景及其语义信息至关重要.目前常用方法一般将这两个功能分开处理,本文将二者结合,提出了一种基于深度图及分离池化技术的场景复原及语义分类网络,依据深度图中的RGB-D信息,完成对三维目标场景的重建与分类.首先,构建了一种CPU端到GPU端的深度卷积神经网络模型,将从传感器采样的深度图像作为输入,深度学习摄像机投影区域内的上下文目标场景信息,网络的输出为使用改进的截断式带符号距离函数(Truncated signed distance function,TSDF)编码后的体素级语义标注.然后,使用分离池化技术改进卷积神经网络的池化层粒度结构,设计带细粒度池化的语义分类损失函数,用于回馈网络的语义分类重定位.最后,为增强卷积神经网络的深度学习能力,构建了一种带有语义标注的三维目标场景数据集,以此加强本文所提网络的深度学习鲁棒性.实验结果表明,与目前较先进的网络模型对比,本文网络的重建规模扩大了2.1%,所提深度卷积网络对缺失场景的复原效果较好,同时保证了语义分类的精准度.
2019, 45(11): 2187-2198.
doi: 10.16383/j.aas.2017.c170458
cstr: 32138.14.j.aas.2017.c170458
摘要:
在基于图像的城市场景三维重建中,场景分段平面重建算法可以克服场景中的弱纹理、光照变化等因素的影响而快速恢复场景完整的近似结构.然而,在初始空间点较为稀疏、候选平面集不完备、图像过分割质量较低等问题存在时,可靠性往往较低.为了解决此问题,本文根据城市场景的结构特征构造了一种新颖的融合场景结构先验、空间点可见性与颜色相似性的平面可靠性度量,然后采用图像区域与相应平面协同优化的方式对场景结构进行了推断.实验结果表明,本文算法利用稀疏空间点即可有效重建出完整的场景结构,整体上具有较高的精度与效率.
在基于图像的城市场景三维重建中,场景分段平面重建算法可以克服场景中的弱纹理、光照变化等因素的影响而快速恢复场景完整的近似结构.然而,在初始空间点较为稀疏、候选平面集不完备、图像过分割质量较低等问题存在时,可靠性往往较低.为了解决此问题,本文根据城市场景的结构特征构造了一种新颖的融合场景结构先验、空间点可见性与颜色相似性的平面可靠性度量,然后采用图像区域与相应平面协同优化的方式对场景结构进行了推断.实验结果表明,本文算法利用稀疏空间点即可有效重建出完整的场景结构,整体上具有较高的精度与效率.
2019, 45(11): 2199-2204.
doi: 10.16383/j.aas.c180721
cstr: 32138.14.j.aas.c180721
摘要:
本文提出了一种注意力胶囊网络的新框架利用录音识别家庭活动.胶囊网络可以通过动态路由算法来选择基于每个声音事件的代表性频带.为了进一步提高其能力,我们在胶囊网络中加入注意力机制,它通过加权来增加对重要时间帧的关注.为了评估我们的方法,我们在声学场景和事件的检测和分类(Detection and Classification of Acoustic Scenes and Events,DCASE)2018挑战任务5数据集上进行测试.结果表明,F1平均得分可达92.1%,优于几个基线方法的F1得分.
本文提出了一种注意力胶囊网络的新框架利用录音识别家庭活动.胶囊网络可以通过动态路由算法来选择基于每个声音事件的代表性频带.为了进一步提高其能力,我们在胶囊网络中加入注意力机制,它通过加权来增加对重要时间帧的关注.为了评估我们的方法,我们在声学场景和事件的检测和分类(Detection and Classification of Acoustic Scenes and Events,DCASE)2018挑战任务5数据集上进行测试.结果表明,F1平均得分可达92.1%,优于几个基线方法的F1得分.