2018年 第44卷 第11期
2018, 44(11): 1923-1930.
doi: 10.16383/j.aas.2018.c180252
cstr: 32138.14.j.aas.2018.c180252
摘要:
本文结合中国自动化科学与技术的发展状况和中国绝大多数大学设有自动化专业的现状,借鉴自动化科学与技术发展历程中的成功经验,结合国家社会经济发展和国家安全对自动化系统的未来需求,以生产制造系统、重要运载工具和人参与的信息物理系统为主要对象,以自动化系统的发展方向—智能自主控制系统、智能优化决策系统和智能优化决策与控制一体化系统的愿景功能为目标,以研究实现愿景功能的建模、控制与优化新算法和新的自动化系统的设计方法和实现技术以及结合重大应用领域开展的应用研究为主线,提出了自动化科学与技术的发展方向,并结合新兴应用领域对自动化科学与技术的需求与挑战,提出了未来自动化科学与技术的发展方向.
本文结合中国自动化科学与技术的发展状况和中国绝大多数大学设有自动化专业的现状,借鉴自动化科学与技术发展历程中的成功经验,结合国家社会经济发展和国家安全对自动化系统的未来需求,以生产制造系统、重要运载工具和人参与的信息物理系统为主要对象,以自动化系统的发展方向—智能自主控制系统、智能优化决策系统和智能优化决策与控制一体化系统的愿景功能为目标,以研究实现愿景功能的建模、控制与优化新算法和新的自动化系统的设计方法和实现技术以及结合重大应用领域开展的应用研究为主线,提出了自动化科学与技术的发展方向,并结合新兴应用领域对自动化科学与技术的需求与挑战,提出了未来自动化科学与技术的发展方向.
2018, 44(11): 1931-1943.
doi: 10.16383/j.aas.2018.c180550
cstr: 32138.14.j.aas.2018.c180550
摘要:
流程工业是制造业的重要组成部分,是我国国民经济和社会发展的重要支柱产业.新一代信息技术和人工智能技术为流程工业的发展带来新的挑战和机遇.只有与流程工业的特点与目标密切结合,充分利用大数据,将人工智能、移动互联网、云计算、建模、控制与优化等信息技术与工业生产过程的物理资源紧密融合与协同,实现流程工业智能优化制造,才可能实现流程工业的跨越式发展.本文聚焦流程工业的复杂生产过程,从其智能优化决策系统的角度,描述了复杂工业过程优化决策系统的问题、回顾总结了复杂工业过程全流程优化决策系统的现状,分析了智能优化决策系统的必要性,提出了智能优化决策系统的发展目标及愿景,并对智能优化决策系统的下一步重点研究方向进行了展望.
流程工业是制造业的重要组成部分,是我国国民经济和社会发展的重要支柱产业.新一代信息技术和人工智能技术为流程工业的发展带来新的挑战和机遇.只有与流程工业的特点与目标密切结合,充分利用大数据,将人工智能、移动互联网、云计算、建模、控制与优化等信息技术与工业生产过程的物理资源紧密融合与协同,实现流程工业智能优化制造,才可能实现流程工业的跨越式发展.本文聚焦流程工业的复杂生产过程,从其智能优化决策系统的角度,描述了复杂工业过程优化决策系统的问题、回顾总结了复杂工业过程全流程优化决策系统的现状,分析了智能优化决策系统的必要性,提出了智能优化决策系统的发展目标及愿景,并对智能优化决策系统的下一步重点研究方向进行了展望.
2018, 44(11): 1944-1956.
doi: 10.16383/j.aas.2018.c180207
cstr: 32138.14.j.aas.2018.c180207
摘要:
现代工业过程向大规模、连续化、集成化方向发展,有必要对生产全流程运行的决策、协同控制、底层控制进行有效监控,也是当前国际控制领域的研究热点.本文首先分析了工业过程全流程运行监控的内涵与行业现状;其次,阐述了基于模型的控制系统故障诊断与容错控制方法,以及数据驱动的异常工况诊断与自愈控制方法的研究现状,并指明了信息物理系统(Cyber-physical systems,CPS)时代智能安全运行监控与自优化的发展机遇;最后,论述了工业过程运行监控与自优化研究的新方向和最新进展,包括:1)数据驱动的决策、协同控制、底层控制多层面联合监控;2)基于机理、数据、知识多源动态信息融合的异常工况诊断;3)专家知识与控制手段相结合的协同层自愈控制;4)数据驱动的运行动态性能分析与自优化;5)支撑运行监控与自优化系统的实现技术.
现代工业过程向大规模、连续化、集成化方向发展,有必要对生产全流程运行的决策、协同控制、底层控制进行有效监控,也是当前国际控制领域的研究热点.本文首先分析了工业过程全流程运行监控的内涵与行业现状;其次,阐述了基于模型的控制系统故障诊断与容错控制方法,以及数据驱动的异常工况诊断与自愈控制方法的研究现状,并指明了信息物理系统(Cyber-physical systems,CPS)时代智能安全运行监控与自优化的发展机遇;最后,论述了工业过程运行监控与自优化研究的新方向和最新进展,包括:1)数据驱动的决策、协同控制、底层控制多层面联合监控;2)基于机理、数据、知识多源动态信息融合的异常工况诊断;3)专家知识与控制手段相结合的协同层自愈控制;4)数据驱动的运行动态性能分析与自优化;5)支撑运行监控与自优化系统的实现技术.
2018, 44(11): 1957-1970.
doi: 10.16383/j.aas.2018.c180198
cstr: 32138.14.j.aas.2018.c180198
摘要:
铝电解行业具有战略基础地位,面临着诸多挑战性难题,包括原料来源复杂使得工况难以稳定优化运行、多目标协同优化难度大、控制决策智能化水平和数据利用率低以及铝电解企业在内外环境的不确定性影响下难以实时做出正确决策等.为了解决上述问题,本文提出构建一种集铝电解智能分布式感知系统、系列槽智能协同优化控制系统、大型槽智能优化控制系统、智能安全运行监控系统和虚拟制造系统于一体的铝电解智能优化制造系统的方法.同时提出了铝电解制造系统的未来发展目标和愿景功能,并给出了相关研究方向.最后给出了技术发展规划,提出中短期规划和中长期规划"两步走"战略,并对铝电解生产智能优化制造系统发展前景作出展望.
铝电解行业具有战略基础地位,面临着诸多挑战性难题,包括原料来源复杂使得工况难以稳定优化运行、多目标协同优化难度大、控制决策智能化水平和数据利用率低以及铝电解企业在内外环境的不确定性影响下难以实时做出正确决策等.为了解决上述问题,本文提出构建一种集铝电解智能分布式感知系统、系列槽智能协同优化控制系统、大型槽智能优化控制系统、智能安全运行监控系统和虚拟制造系统于一体的铝电解智能优化制造系统的方法.同时提出了铝电解制造系统的未来发展目标和愿景功能,并给出了相关研究方向.最后给出了技术发展规划,提出中短期规划和中长期规划"两步走"战略,并对铝电解生产智能优化制造系统发展前景作出展望.
2018, 44(11): 1971-1984.
doi: 10.16383/j.aas.2018.c180439
cstr: 32138.14.j.aas.2018.c180439
摘要:
城市污水处理过程(Municipal wastewater treatment processes,WWTPs)由于进水流量、进水成分、污染物种类、有机物浓度等被动接受,系统始终运行在非平稳状态,导致污泥膨胀等异常工况频发.异常工况一旦发生,会降低污水处理效率,引起出水水质超标等问题,严重时造成污水处理过程崩溃,引发事故.因此,如何降低异常工况发生率、保证城市污水处理过程安全平稳运行,是城市污水处理过程亟待解决的难题.围绕城市污水处理过程异常工况的识别和抑制方法,文中梳理了其研究进展.首先,介绍了城市污水处理运行的背景与异常工况的特点;其次,概述了一些主流的污水处理异常工况识别和抑制方法;最后,进行了分析与总结,指出了城市污水处理过程异常工况识别和抑制方法未来的研究方向.
城市污水处理过程(Municipal wastewater treatment processes,WWTPs)由于进水流量、进水成分、污染物种类、有机物浓度等被动接受,系统始终运行在非平稳状态,导致污泥膨胀等异常工况频发.异常工况一旦发生,会降低污水处理效率,引起出水水质超标等问题,严重时造成污水处理过程崩溃,引发事故.因此,如何降低异常工况发生率、保证城市污水处理过程安全平稳运行,是城市污水处理过程亟待解决的难题.围绕城市污水处理过程异常工况的识别和抑制方法,文中梳理了其研究进展.首先,介绍了城市污水处理运行的背景与异常工况的特点;其次,概述了一些主流的污水处理异常工况识别和抑制方法;最后,进行了分析与总结,指出了城市污水处理过程异常工况识别和抑制方法未来的研究方向.
2018, 44(11): 1985-1999.
doi: 10.16383/j.aas.2018.c180600
cstr: 32138.14.j.aas.2018.c180600
摘要:
在高技术战争的背景下,陆用运动体控制系统呈现出数字化、智能化、网络化、无人化的发展趋势.面向未来作战需求,陆用运动体控制系统必须更加高效、可靠、自主与智能.本文针对陆用运动体控制系统的环境与态势感知,火力指挥与控制,多平台协同以及维修保障与健康管理对当前主要研究成果和最新进展做了简要综述.在总结国内外的现有研究成果的基础上,指出了目前存在的挑战与未来的研究方向.
在高技术战争的背景下,陆用运动体控制系统呈现出数字化、智能化、网络化、无人化的发展趋势.面向未来作战需求,陆用运动体控制系统必须更加高效、可靠、自主与智能.本文针对陆用运动体控制系统的环境与态势感知,火力指挥与控制,多平台协同以及维修保障与健康管理对当前主要研究成果和最新进展做了简要综述.在总结国内外的现有研究成果的基础上,指出了目前存在的挑战与未来的研究方向.
2018, 44(11): 2000-2010.
doi: 10.16383/j.aas.2018.c180209
cstr: 32138.14.j.aas.2018.c180209
摘要:
面对中国社会快速老龄化现状和庞大的残疾人群,康复辅助机器人研究具有重要学术价值和广阔的应用前景.康复辅助机器人研究涉及神经科学、生物力学、机器人自动控制等领域知识,是机器人最具挑战性和最受关注的研究领域之一.与其他机器人不同,康复辅助机器人的作用对象是人,存在人与机器人的信息交流和能量交换,物理人机交互控制方法是其研究核心和关键技术.本文以神经康复机器人、穿戴式外骨骼、智能假肢等应用为例,介绍当前的研究现状,并重点介绍人体运动意图识别方法和交互控制方法等研究重点和难点.最后展望该领域的未来技术发展方向.
面对中国社会快速老龄化现状和庞大的残疾人群,康复辅助机器人研究具有重要学术价值和广阔的应用前景.康复辅助机器人研究涉及神经科学、生物力学、机器人自动控制等领域知识,是机器人最具挑战性和最受关注的研究领域之一.与其他机器人不同,康复辅助机器人的作用对象是人,存在人与机器人的信息交流和能量交换,物理人机交互控制方法是其研究核心和关键技术.本文以神经康复机器人、穿戴式外骨骼、智能假肢等应用为例,介绍当前的研究现状,并重点介绍人体运动意图识别方法和交互控制方法等研究重点和难点.最后展望该领域的未来技术发展方向.
2018, 44(11): 2011-2022.
doi: 10.16383/j.aas.2018.c180268
cstr: 32138.14.j.aas.2018.c180268
摘要:
共识算法是区块链技术的核心要素,也是近年来分布式系统研究的热点.本文系统性地梳理和讨论了区块链发展过程中的32种重要共识算法,介绍了传统分布式一致性算法以及分布式共识领域的里程碑式的重要研究和结论,提出了区块链共识算法的一种基础模型和分类方法,并总结了现有共识算法的发展脉络和若干性能指标,以期为未来共识算法的创新和区块链技术的发展提供参考.
共识算法是区块链技术的核心要素,也是近年来分布式系统研究的热点.本文系统性地梳理和讨论了区块链发展过程中的32种重要共识算法,介绍了传统分布式一致性算法以及分布式共识领域的里程碑式的重要研究和结论,提出了区块链共识算法的一种基础模型和分类方法,并总结了现有共识算法的发展脉络和若干性能指标,以期为未来共识算法的创新和区块链技术的发展提供参考.
2018, 44(11): 2023-2030.
doi: 10.16383/j.aas.2018.c180152
cstr: 32138.14.j.aas.2018.c180152
摘要:
考古出土的青铜器铭文是非常宝贵的文字材料,准确、快速地了解其释义和字形演变源流对考古学、历史学和语言学研究均有重要意义.青铜器铭文的辨识需要综合文字的形、音、义进行研究,其中第一步也是最重要的一步就是分析文字的形体特征.本文提出一种基于两阶段特征映射的神经网络模型来提取每个文字的形体特征,最后对比目前已知的文字研究成果,如《古文字类编》、《说文解字》,得出识别的结果.通过定性和定量的实验分析,我们发现本文提出的方法可达到较高的识别精度.特别地,在前10个预测类别中(Top-10)准确率达到了94.2%,大幅缩小了考古研究者的搜索推测空间,提高了青铜铭文识别的效率和准确性.
考古出土的青铜器铭文是非常宝贵的文字材料,准确、快速地了解其释义和字形演变源流对考古学、历史学和语言学研究均有重要意义.青铜器铭文的辨识需要综合文字的形、音、义进行研究,其中第一步也是最重要的一步就是分析文字的形体特征.本文提出一种基于两阶段特征映射的神经网络模型来提取每个文字的形体特征,最后对比目前已知的文字研究成果,如《古文字类编》、《说文解字》,得出识别的结果.通过定性和定量的实验分析,我们发现本文提出的方法可达到较高的识别精度.特别地,在前10个预测类别中(Top-10)准确率达到了94.2%,大幅缩小了考古研究者的搜索推测空间,提高了青铜铭文识别的效率和准确性.
2018, 44(11): 2031-2040.
doi: 10.16383/j.aas.2018.c170106
cstr: 32138.14.j.aas.2018.c170106
摘要:
本文考虑实际道路上的车辆跟随运行模式,研究了无人车以时变的相对距离和相对角度跟随行驶的控制问题.本文首先采用领航跟随模式建立了领航车与跟随车之间的误差模型,将无人车之间的相对距离和相对角度作为时变量输入.接着使用反馈控制法设计了跟随车速度控制器和角速度控制器.用李雅普诺夫方法证明了控制器的稳定性,用Barbalat引理从理论上证明了跟踪误差渐近收敛.最后用Matlab/Simulink对无人车的跟随控制进行仿真,仿真结果表明在无人车之间的相对距离和相对角度是时变量的条件下,跟随车可以很好地沿着领航车的前进轨迹跟随行驶.
本文考虑实际道路上的车辆跟随运行模式,研究了无人车以时变的相对距离和相对角度跟随行驶的控制问题.本文首先采用领航跟随模式建立了领航车与跟随车之间的误差模型,将无人车之间的相对距离和相对角度作为时变量输入.接着使用反馈控制法设计了跟随车速度控制器和角速度控制器.用李雅普诺夫方法证明了控制器的稳定性,用Barbalat引理从理论上证明了跟踪误差渐近收敛.最后用Matlab/Simulink对无人车的跟随控制进行仿真,仿真结果表明在无人车之间的相对距离和相对角度是时变量的条件下,跟随车可以很好地沿着领航车的前进轨迹跟随行驶.
2018, 44(11): 2041-2055.
doi: 10.16383/j.aas.2017.c160827
cstr: 32138.14.j.aas.2017.c160827
摘要:
为了得到有效的图像多尺度几何表达,提出一种有效的基于Haar小波变换的平稳Tetrolet变换算法.平稳Tetrolet变换是一种由四个单位正方形通过边连接起来的新的自适应Haar类小波变换,对应的滤波器组简单而有效.与标准二维小波变换相比,平稳Tetrolet变换是一种新型基于四格拼板的多尺度几何变换工具,能够通过多方向选择有效地捕获图像中各向异性特性.本文对平稳Tetrolet变换的分解和重构算法进行了详细描述,对利用平稳Tetrolet变换对图像的分解进行了仿真与分析.实验结果表明,与传统算法相比,提出的算法在保留原始图像边缘和纹理信息的同时,可以有效地取得较好的稀疏表达,能消除Tetrolet变换算法对图像融合存在方块效应的缺陷.
为了得到有效的图像多尺度几何表达,提出一种有效的基于Haar小波变换的平稳Tetrolet变换算法.平稳Tetrolet变换是一种由四个单位正方形通过边连接起来的新的自适应Haar类小波变换,对应的滤波器组简单而有效.与标准二维小波变换相比,平稳Tetrolet变换是一种新型基于四格拼板的多尺度几何变换工具,能够通过多方向选择有效地捕获图像中各向异性特性.本文对平稳Tetrolet变换的分解和重构算法进行了详细描述,对利用平稳Tetrolet变换对图像的分解进行了仿真与分析.实验结果表明,与传统算法相比,提出的算法在保留原始图像边缘和纹理信息的同时,可以有效地取得较好的稀疏表达,能消除Tetrolet变换算法对图像融合存在方块效应的缺陷.
2018, 44(11): 2056-2067.
doi: 10.16383/j.aas.2017.c160798
cstr: 32138.14.j.aas.2017.c160798
摘要:
针对单无人机对单目标的环航跟踪问题,设计了一个能保证无人机在速度有界条件下,飞行轨迹快速收敛到期望航迹的控制器.1)根据无人机运动特性,设计了一个考虑目标运动状态的控制方案,并利用Lyapunov稳定性定理给出了系统渐近稳定的充分条件.2)结合饱和控制和有限时间控制,得到使无人机相对目标距离在有限时间内收敛到期望值的充分条件.3)用数值算例比较验证了所提控制器的有效性.
针对单无人机对单目标的环航跟踪问题,设计了一个能保证无人机在速度有界条件下,飞行轨迹快速收敛到期望航迹的控制器.1)根据无人机运动特性,设计了一个考虑目标运动状态的控制方案,并利用Lyapunov稳定性定理给出了系统渐近稳定的充分条件.2)结合饱和控制和有限时间控制,得到使无人机相对目标距离在有限时间内收敛到期望值的充分条件.3)用数值算例比较验证了所提控制器的有效性.
2018, 44(11): 2068-2082.
doi: 10.16383/j.aas.2017.c160819
cstr: 32138.14.j.aas.2017.c160819
摘要:
封闭小区降低了城市路网密度和可达性,如何开放封闭小区成为一个热点问题.本文对若干中国大型城市的道路网络进行实证研究,发现这些网络的度分布具有无标度性质.基于此性质提出了一个适用于封闭小区开放问题的城市道路复杂网络模型.该模型使得城市道路网络包含小区路网,且道路信息易于查询与筛选,这有利于制定并比较不同的小区开放策略.利用该模型,研究了网络效率的计算和相继故障过程的建模问题,以比较不同的开放策略对城市路网的影响.最后,针对效率和稳定性两个因子,分析城市道路网络的优化特征.结果表明,开放位于非中心地区的小区,开放程度最大,新开交叉口位于连接数不多的道路时,网络效率及稳定性最佳.
封闭小区降低了城市路网密度和可达性,如何开放封闭小区成为一个热点问题.本文对若干中国大型城市的道路网络进行实证研究,发现这些网络的度分布具有无标度性质.基于此性质提出了一个适用于封闭小区开放问题的城市道路复杂网络模型.该模型使得城市道路网络包含小区路网,且道路信息易于查询与筛选,这有利于制定并比较不同的小区开放策略.利用该模型,研究了网络效率的计算和相继故障过程的建模问题,以比较不同的开放策略对城市路网的影响.最后,针对效率和稳定性两个因子,分析城市道路网络的优化特征.结果表明,开放位于非中心地区的小区,开放程度最大,新开交叉口位于连接数不多的道路时,网络效率及稳定性最佳.
2018, 44(11): 2083-2091.
doi: 10.16383/j.aas.2018.c170345
cstr: 32138.14.j.aas.2018.c170345
摘要:
针对具有总能耗约束的柔性作业车间调度问题(Flexible job shop scheduling problem,FJSP),提出一种基于帝国竞争算法(Imperialist competitive algorithm,ICA)和变邻域搜索(Variable neighborhood search,VNS)的双阶段算法,该算法在总能耗不超过给定阈值的条件下最小化Makespan和总延迟时间.由于能耗约束不是总能满足且阈值往往难以事先给定,为此,第一阶段,首先,将原问题转化为具有Makespan、总延迟时间和总能耗的三目标FJSP,然后,利用初始帝国构建和帝国竞争的新策略设计一种ICA对问题求解,并根据ICA的结果确定总能耗阈值;第二阶段,应用解的比较新策略、非劣解集更新方法和当前解周期性更新,构建VNS对原问题求解.计算实验和结果分析表明,两阶段算法对于所研究的问题搜索能力强.
针对具有总能耗约束的柔性作业车间调度问题(Flexible job shop scheduling problem,FJSP),提出一种基于帝国竞争算法(Imperialist competitive algorithm,ICA)和变邻域搜索(Variable neighborhood search,VNS)的双阶段算法,该算法在总能耗不超过给定阈值的条件下最小化Makespan和总延迟时间.由于能耗约束不是总能满足且阈值往往难以事先给定,为此,第一阶段,首先,将原问题转化为具有Makespan、总延迟时间和总能耗的三目标FJSP,然后,利用初始帝国构建和帝国竞争的新策略设计一种ICA对问题求解,并根据ICA的结果确定总能耗阈值;第二阶段,应用解的比较新策略、非劣解集更新方法和当前解周期性更新,构建VNS对原问题求解.计算实验和结果分析表明,两阶段算法对于所研究的问题搜索能力强.
2018, 44(11): 2092-2102.
doi: 10.16383/j.aas.2017.c170176
cstr: 32138.14.j.aas.2017.c170176
摘要:
针对常用混合动力汽车(Hybrid electric vehicle,HEV)中锂离子电池在功率波动较大时难以满足需求,以及单个驱动周期内HEV燃油能耗大且能量不能很好回收等问题,研究采用锂离子电池和超级电容器混合储能系统(Lithium-ion battery and super-capacitor hybrid energy storage system,Li-SC HESS)与内燃机共同驱动HEV运行.结合比例积分粒子群优化算法(Particle swarm optimization-proportion integration,PSO-PI)控制器和Li-SC HESS内部功率限制管理办法,提出一种改进的基于庞特里亚金极小值原理(Pontryagin's minimum principle,PMP)算法的HEV能量优化控制策略,通过ADVISOR软件建立HEV整车仿真模型,验证该方法的有效性与可行性.仿真结果表明,该能量优化控制策略提高了HEV跟踪整车燃油能耗最小轨迹的实时性,节能减排比改进前提高了1.6%~2%,功率波动时减少了锂离子电池的出力,进而改善了混合储能系统性能,对电动汽车关键技术的后续研究意义重大.
针对常用混合动力汽车(Hybrid electric vehicle,HEV)中锂离子电池在功率波动较大时难以满足需求,以及单个驱动周期内HEV燃油能耗大且能量不能很好回收等问题,研究采用锂离子电池和超级电容器混合储能系统(Lithium-ion battery and super-capacitor hybrid energy storage system,Li-SC HESS)与内燃机共同驱动HEV运行.结合比例积分粒子群优化算法(Particle swarm optimization-proportion integration,PSO-PI)控制器和Li-SC HESS内部功率限制管理办法,提出一种改进的基于庞特里亚金极小值原理(Pontryagin's minimum principle,PMP)算法的HEV能量优化控制策略,通过ADVISOR软件建立HEV整车仿真模型,验证该方法的有效性与可行性.仿真结果表明,该能量优化控制策略提高了HEV跟踪整车燃油能耗最小轨迹的实时性,节能减排比改进前提高了1.6%~2%,功率波动时减少了锂离子电池的出力,进而改善了混合储能系统性能,对电动汽车关键技术的后续研究意义重大.
2018, 44(11): 2103-2112.
doi: 10.16383/j.aas.2018.c170376
cstr: 32138.14.j.aas.2018.c170376
摘要:
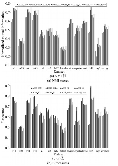
针对自适应聚类集成选择方法(Adaptive cluster ensemble selection,ACES)存在聚类集体稳定性判定方法不客观和聚类成员选择方法不够合理的问题,提出了一种改进的自适应聚类集成选择方法(Improved ACES,IACES).IACES依据聚类集体的整体平均归一化互信息值判定聚类集体稳定性,若稳定则选择具有较高质量和适中差异性的聚类成员,否则选择质量较高的聚类成员.在多组基准数据集上的实验结果验证了IACES方法的有效性:1)IACES能够准确判定聚类集体的稳定性,而ACES会将某些不稳定的聚类集体误判为稳定;2)与其他聚类成员选择方法相比,根据IACES选择聚类成员进行集成在绝大部分情况下都获得了更佳的聚类结果,在所有数据集上都获得了更优的平均聚类结果.
针对自适应聚类集成选择方法(Adaptive cluster ensemble selection,ACES)存在聚类集体稳定性判定方法不客观和聚类成员选择方法不够合理的问题,提出了一种改进的自适应聚类集成选择方法(Improved ACES,IACES).IACES依据聚类集体的整体平均归一化互信息值判定聚类集体稳定性,若稳定则选择具有较高质量和适中差异性的聚类成员,否则选择质量较高的聚类成员.在多组基准数据集上的实验结果验证了IACES方法的有效性:1)IACES能够准确判定聚类集体的稳定性,而ACES会将某些不稳定的聚类集体误判为稳定;2)与其他聚类成员选择方法相比,根据IACES选择聚类成员进行集成在绝大部分情况下都获得了更佳的聚类结果,在所有数据集上都获得了更优的平均聚类结果.