2018年 第44卷 第3期
2018, 44(3): 385-400.
doi: 10.16383/j.aas.2018.c170107
cstr: 32138.14.j.aas.2018.c170107
摘要:
定位是移动机器人导航的重要组成部分.在定位问题中,视觉发挥了越来越重要的作用.本文首先给出了视觉定位的数学描述,然后按照数据关联方式的不同介绍了视觉里程计(Visual odometry,VO)所使用的较为代表性方法,讨论了提高视觉里程计鲁棒性的方法.此外,本文讨论了语义分析在视觉定位中作用以及如何使用深度学习神经网络进行视觉定位的问题.最后,本文简述了视觉定位目前存在的问题和未来的发展方向.
定位是移动机器人导航的重要组成部分.在定位问题中,视觉发挥了越来越重要的作用.本文首先给出了视觉定位的数学描述,然后按照数据关联方式的不同介绍了视觉里程计(Visual odometry,VO)所使用的较为代表性方法,讨论了提高视觉里程计鲁棒性的方法.此外,本文讨论了语义分析在视觉定位中作用以及如何使用深度学习神经网络进行视觉定位的问题.最后,本文简述了视觉定位目前存在的问题和未来的发展方向.
2018, 44(3): 401-424.
doi: 10.16383/j.aas.2018.c170153
cstr: 32138.14.j.aas.2018.c170153
摘要:
深度学习(Deep learning,DL),特别是深度卷积神经网络(Convolutional neural networks,CNNs),能够从医学图像大数据中自动学习提取隐含的疾病诊断特征,近几年已迅速成为医学图像分析研究热点.本文首先简述医学图像分析特点;其次,论述深度学习基本原理,总结深度CNNs在医学图像分析中的分类、分割框架;然后,分别论述深度学习在医学图像分类、检测、分割等各应用领域的国内外研究现状;最后,探讨归纳医学图像分析深度学习方法挑战及其主要应对策略和开放的研究方向.
深度学习(Deep learning,DL),特别是深度卷积神经网络(Convolutional neural networks,CNNs),能够从医学图像大数据中自动学习提取隐含的疾病诊断特征,近几年已迅速成为医学图像分析研究热点.本文首先简述医学图像分析特点;其次,论述深度学习基本原理,总结深度CNNs在医学图像分析中的分类、分割框架;然后,分别论述深度学习在医学图像分类、检测、分割等各应用领域的国内外研究现状;最后,探讨归纳医学图像分析深度学习方法挑战及其主要应对策略和开放的研究方向.
2018, 44(3): 425-433.
doi: 10.16383/j.aas.2018.c170192
cstr: 32138.14.j.aas.2018.c170192
摘要:
分析了复杂测量系统的溯源研究现状,指出现有的研究已不能满足复杂测量系统的动态化溯源需求,提出了建立人工测量系统的必要性.基于ACP(Artificial societies,computational experiments,and parallel execution)方法建立了平行测量系统的理论框架,通过构建与物理测量系统行为和特性等价的人工测量系统,借助人工测量系统的计算实验,确定测量优化控制策略,引导物理测量系统的运行,并进行评估,实现物理测量系统和人工测量系统的平行执行和平行控制,将物理测量系统溯源至人工测量系统的理论模型上,解决复杂测量系统的溯源问题.并以齿轮在位测量系统为例,对平行齿轮测量系统进行了设计和平行控制研究.
分析了复杂测量系统的溯源研究现状,指出现有的研究已不能满足复杂测量系统的动态化溯源需求,提出了建立人工测量系统的必要性.基于ACP(Artificial societies,computational experiments,and parallel execution)方法建立了平行测量系统的理论框架,通过构建与物理测量系统行为和特性等价的人工测量系统,借助人工测量系统的计算实验,确定测量优化控制策略,引导物理测量系统的运行,并进行评估,实现物理测量系统和人工测量系统的平行执行和平行控制,将物理测量系统溯源至人工测量系统的理论模型上,解决复杂测量系统的溯源问题.并以齿轮在位测量系统为例,对平行齿轮测量系统进行了设计和平行控制研究.
2018, 44(3): 434-442.
doi: 10.16383/j.aas.2018.c160399
cstr: 32138.14.j.aas.2018.c160399
摘要:
针对需要对现场数据加密的工业控制系统(Industrial control system,ICS),基于稳定性判据设计一种加密传输机制的可行性评估模型,结合超越方程D-subdivision求解法,提出一种数据加密长度可行域求解算法.改进IAE(Integral absolute error)并提出Truncated IAE(TIAE)-based指标,用于评估可行域内不同数据长度对系统实时性能的影响.利用嵌入式平台测定的加密算法执行时间与数据长度的关系,评估了两种对称加密算法应用在他励直流电机控制系统中的可行性,验证了可行域求解算法的准确性,并获得了实时性能随数据长度的变化规律.
针对需要对现场数据加密的工业控制系统(Industrial control system,ICS),基于稳定性判据设计一种加密传输机制的可行性评估模型,结合超越方程D-subdivision求解法,提出一种数据加密长度可行域求解算法.改进IAE(Integral absolute error)并提出Truncated IAE(TIAE)-based指标,用于评估可行域内不同数据长度对系统实时性能的影响.利用嵌入式平台测定的加密算法执行时间与数据长度的关系,评估了两种对称加密算法应用在他励直流电机控制系统中的可行性,验证了可行域求解算法的准确性,并获得了实时性能随数据长度的变化规律.
2018, 44(3): 443-452.
doi: 10.16383/j.aas.2018.c160544
cstr: 32138.14.j.aas.2018.c160544
摘要:
压缩感知(Compressed sensing,CS)技术应用于单快拍波达方向(Direction of arrival,DOA)估计中可以实现相关信号的超分辨估计,但会遇到感知矩阵高相干性以及对噪声敏感的问题.本文提出一种基于近似消息传递的子空间搜索算法以解决上述问题.该算法首先通过近似消息传递算法得到一个粗解,随后利用该粗解划分子空间,最后在子空间中寻找精确解.仿真结果验证了所提算法的有效性.文章最后通过理论分析了该算法性能并讨论了算法在信号数未知时的扩展应用.
压缩感知(Compressed sensing,CS)技术应用于单快拍波达方向(Direction of arrival,DOA)估计中可以实现相关信号的超分辨估计,但会遇到感知矩阵高相干性以及对噪声敏感的问题.本文提出一种基于近似消息传递的子空间搜索算法以解决上述问题.该算法首先通过近似消息传递算法得到一个粗解,随后利用该粗解划分子空间,最后在子空间中寻找精确解.仿真结果验证了所提算法的有效性.文章最后通过理论分析了该算法性能并讨论了算法在信号数未知时的扩展应用.
2018, 44(3): 453-460.
doi: 10.16383/j.aas.2018.c160806
cstr: 32138.14.j.aas.2018.c160806
摘要:
识别短文本的语言种类是社交媒体中自然语言处理的重要前提,也是一个挑战性热点课题.由于存在集外词和不同语种相同词汇干扰的问题,传统基于n-gram的短文本语种识别方法(如Textcat、LIGA、logLIGA等)识别效果在不同的数据集上相差甚远,鲁棒性较差.本文提出了一种基于n-gram频率语种识别改进方法,根据训练数据不同特性,自动确定语言中特征词和共有词的权重,增强语种识别模型在不同数据集上的鲁棒性.实验结果证明了该方法的有效性.
识别短文本的语言种类是社交媒体中自然语言处理的重要前提,也是一个挑战性热点课题.由于存在集外词和不同语种相同词汇干扰的问题,传统基于n-gram的短文本语种识别方法(如Textcat、LIGA、logLIGA等)识别效果在不同的数据集上相差甚远,鲁棒性较差.本文提出了一种基于n-gram频率语种识别改进方法,根据训练数据不同特性,自动确定语言中特征词和共有词的权重,增强语种识别模型在不同数据集上的鲁棒性.实验结果证明了该方法的有效性.
2018, 44(3): 461-470.
doi: 10.16383/j.aas.2018.c160684
cstr: 32138.14.j.aas.2018.c160684
摘要:
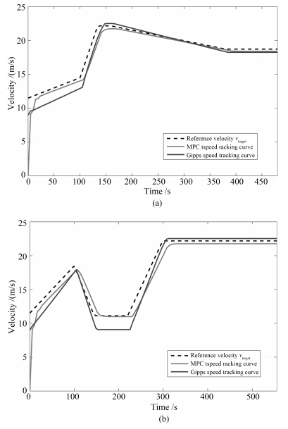
基于车联网(Vehicular ad hoc networks,VANETs)进行车辆和信号灯的协同控制是下一代智能交通系统(Intelligent transportation systems,ITSs)中非常重要的核心技术之一.本文提出了一种预测信号灯信息的车辆低油耗环保驾驶控制系统.首先,根据道路信息和牛顿第二定律建立车辆动态模型,根据系统测量的信号灯状态信息,获得车辆避免刹车情况下通过前方信号灯的参考速度.然后,结合基于油耗模型和速度跟踪的综合优化指标,运用模型预测控制(Model predictive control,MPC)方法计算车辆的最优控制输入,并利用Laguerre函数方法对MPC问题进行求解.仿真表明,该系统可减少路口不必要的停车和刹车操作,节约燃油.
基于车联网(Vehicular ad hoc networks,VANETs)进行车辆和信号灯的协同控制是下一代智能交通系统(Intelligent transportation systems,ITSs)中非常重要的核心技术之一.本文提出了一种预测信号灯信息的车辆低油耗环保驾驶控制系统.首先,根据道路信息和牛顿第二定律建立车辆动态模型,根据系统测量的信号灯状态信息,获得车辆避免刹车情况下通过前方信号灯的参考速度.然后,结合基于油耗模型和速度跟踪的综合优化指标,运用模型预测控制(Model predictive control,MPC)方法计算车辆的最优控制输入,并利用Laguerre函数方法对MPC问题进行求解.仿真表明,该系统可减少路口不必要的停车和刹车操作,节约燃油.
2018, 44(3): 471-480.
doi: 10.16383/j.aas.2018.c160164
cstr: 32138.14.j.aas.2018.c160164
摘要:
考虑数字控制系统一个采样周期输入延时和驱动器功率管非线性特性的影响,为增强永磁同步电机(Permanent magnet synchronous motor,PMSM)电流环稳定性和提高电流控制精度,提出一种自适应预测比例-积分-谐振控制(Adaptive predictive proportional-integral-resonant,APPI-RES)策略.该方法能够在电机电阻和电感参数不确定的条件下,预测电流控制误差和未知周期电压扰动,将所得预测量执行反馈控制,实现了对系统输入延时和相电流谐波的有效补偿.最后,通过仿真分析验证了所提控制策略的有效性.
考虑数字控制系统一个采样周期输入延时和驱动器功率管非线性特性的影响,为增强永磁同步电机(Permanent magnet synchronous motor,PMSM)电流环稳定性和提高电流控制精度,提出一种自适应预测比例-积分-谐振控制(Adaptive predictive proportional-integral-resonant,APPI-RES)策略.该方法能够在电机电阻和电感参数不确定的条件下,预测电流控制误差和未知周期电压扰动,将所得预测量执行反馈控制,实现了对系统输入延时和相电流谐波的有效补偿.最后,通过仿真分析验证了所提控制策略的有效性.
2018, 44(3): 481-489.
doi: 10.16383/j.aas.2018.c160594
cstr: 32138.14.j.aas.2018.c160594
摘要:
雾、霾天气会引起图像严重降质.本文假设局部雾浓度恒定,认为暗通道优先的有效性随景深递增呈指数衰减,其比例大小可间接反映雾浓度高低.在此基础上提出一种基于超像素的均值-均方差暗通道单幅图像去雾算法.首先通过超像素分割得到景深恒定的小区域,接着在每个区域内计算均值-均方差暗通道:用均值替代最小值抑制景深突变处的光晕效应,同时采用均方差对其进行修正纠正景深无限远处的偏色问题,由此生成的透射率在超像素内保持不变且更加精细、准确.实验结果表明该算法在雾浓度较大时能够显著提高大景深图像的可见性.
雾、霾天气会引起图像严重降质.本文假设局部雾浓度恒定,认为暗通道优先的有效性随景深递增呈指数衰减,其比例大小可间接反映雾浓度高低.在此基础上提出一种基于超像素的均值-均方差暗通道单幅图像去雾算法.首先通过超像素分割得到景深恒定的小区域,接着在每个区域内计算均值-均方差暗通道:用均值替代最小值抑制景深突变处的光晕效应,同时采用均方差对其进行修正纠正景深无限远处的偏色问题,由此生成的透射率在超像素内保持不变且更加精细、准确.实验结果表明该算法在雾浓度较大时能够显著提高大景深图像的可见性.
2018, 44(3): 490-505.
doi: 10.16383/j.aas.2018.c160420
cstr: 32138.14.j.aas.2018.c160420
摘要:
快速动态磁共振成像可以通过减少采样量来缩短信号的采集时间.因此,从下采样的数据中重建出高质量的图像成为研究的热点.目前,常见的重建方法利用动态图像序列的稀疏表示实现高质量的重建.本文提出了一种联合相邻帧预测(Joint adjacent-frame prediction,JAFP)的重建方法,首先根据动态图像序列相邻帧之间高度的相似性,联合预测当前帧图像,获得稀疏的图像差;其次,利用图像差序列在时间域的拟周期特性,通过傅里叶变换进一步提高图像差序列的稀疏度.在此基础上构建动态成像模型,并在压缩感知(Compressed sensing,CS)框架下进行求解.该方法可将前一次的重建结果作为新的输入,从而形成迭代算法.采用两个磁共振心脏电影成像数据集对提出的方法进行了实验验证,并与k-t FOCUSS ME/MC和MASTeR进行了比较.实验结果表明,该方法联合相邻帧改进了预测图像的效果,提升了重建图像的质量,具有广泛的应用价值.
快速动态磁共振成像可以通过减少采样量来缩短信号的采集时间.因此,从下采样的数据中重建出高质量的图像成为研究的热点.目前,常见的重建方法利用动态图像序列的稀疏表示实现高质量的重建.本文提出了一种联合相邻帧预测(Joint adjacent-frame prediction,JAFP)的重建方法,首先根据动态图像序列相邻帧之间高度的相似性,联合预测当前帧图像,获得稀疏的图像差;其次,利用图像差序列在时间域的拟周期特性,通过傅里叶变换进一步提高图像差序列的稀疏度.在此基础上构建动态成像模型,并在压缩感知(Compressed sensing,CS)框架下进行求解.该方法可将前一次的重建结果作为新的输入,从而形成迭代算法.采用两个磁共振心脏电影成像数据集对提出的方法进行了实验验证,并与k-t FOCUSS ME/MC和MASTeR进行了比较.实验结果表明,该方法联合相邻帧改进了预测图像的效果,提升了重建图像的质量,具有广泛的应用价值.
2018, 44(3): 506-516.
doi: 10.16383/j.aas.2018.c160639
cstr: 32138.14.j.aas.2018.c160639
摘要:
相机全局位置估计作为运动恢复结构算法(Structure from motion,SfM)中的核心内容一直以来都是计算机视觉领域的研究热点.现有相机全局位置估计方法大多对外点敏感,在处理大规模、无序图像集时表现的尤为明显.增量式SfM中的迭代优化步骤可以剔除大部分的误匹配从而降低外点对估计结果的影响,而全局式SfM中没有有效地剔除误匹配的策略,估计结果受外点影响较大.针对这种情况,本文提出一种改进的相机全局位置估计方法:首先,结合极线约束提出一种新的对误匹配鲁棒的相对平移方向估计算法,减少相对平移方向估计结果中存在的外点;然后,引入平行刚体理论提出一种新的预处理方法将相机全局位置估计转化为一个适定性问题;最后,在此基础上构造了一个对外点鲁棒的凸优化线性估计模型,对模型解算获取相机位置估计全局最优解.本文方法可以很好地融合到当下的全局式SfM流程中.与现有典型方法的对照实验结果表明:在处理大规模、无序图像时,本文方法能显著提高相机全局位置估计的鲁棒性,并保证估计过程的高效性和估计结果的普遍精度.
相机全局位置估计作为运动恢复结构算法(Structure from motion,SfM)中的核心内容一直以来都是计算机视觉领域的研究热点.现有相机全局位置估计方法大多对外点敏感,在处理大规模、无序图像集时表现的尤为明显.增量式SfM中的迭代优化步骤可以剔除大部分的误匹配从而降低外点对估计结果的影响,而全局式SfM中没有有效地剔除误匹配的策略,估计结果受外点影响较大.针对这种情况,本文提出一种改进的相机全局位置估计方法:首先,结合极线约束提出一种新的对误匹配鲁棒的相对平移方向估计算法,减少相对平移方向估计结果中存在的外点;然后,引入平行刚体理论提出一种新的预处理方法将相机全局位置估计转化为一个适定性问题;最后,在此基础上构造了一个对外点鲁棒的凸优化线性估计模型,对模型解算获取相机位置估计全局最优解.本文方法可以很好地融合到当下的全局式SfM流程中.与现有典型方法的对照实验结果表明:在处理大规模、无序图像时,本文方法能显著提高相机全局位置估计的鲁棒性,并保证估计过程的高效性和估计结果的普遍精度.
2018, 44(3): 517-532.
doi: 10.16383/j.aas.2018.c160726
cstr: 32138.14.j.aas.2018.c160726
摘要:
采用多属性频率权重以及多目标簇集质量聚类准则,提出一种分类数据子空间聚类算法.该算法利用粗糙集理论中的等价类,定义了一种多属性权重计算方法,有效地提高了属性的聚类区分能力;在多目标簇集质量函数的基础上,采用层次凝聚策略,迭代合并子簇,有效地度量了各类尺度的聚类簇;利用区间离散度,解决了使用阈值删除噪音点所带来的参数问题;利用属性对簇的依附程度,确定了聚类簇的属性相关子空间,提高了聚类簇的可理解性.最后,采用人工合成、UCI和恒星光谱数据集,实验验证了该聚类算法的可行性和有效性.
采用多属性频率权重以及多目标簇集质量聚类准则,提出一种分类数据子空间聚类算法.该算法利用粗糙集理论中的等价类,定义了一种多属性权重计算方法,有效地提高了属性的聚类区分能力;在多目标簇集质量函数的基础上,采用层次凝聚策略,迭代合并子簇,有效地度量了各类尺度的聚类簇;利用区间离散度,解决了使用阈值删除噪音点所带来的参数问题;利用属性对簇的依附程度,确定了聚类簇的属性相关子空间,提高了聚类簇的可理解性.最后,采用人工合成、UCI和恒星光谱数据集,实验验证了该聚类算法的可行性和有效性.
2018, 44(3): 533-544.
doi: 10.16383/j.aas.2018.c160373
cstr: 32138.14.j.aas.2018.c160373
摘要:
拥堵状态辨识是道路运行状态评估的重要内容,是交通系统流量调控和管理的重要参考指标.在智能交通系统(Intelligent transport system,ITS)普及化程度越来越高的后交通时代,如何实现海量数据下对多源不确定交通拥堵状态的辨识是非常重要的内容.首先,基于多元集对分析建立一种新的路网交通拥堵状态刻画模型;然后,通过改进证据理论中Dempster组合规则实现交通信息融合,并推导出当前交通拥堵状态的准确表达值;最后,在数值模拟的基础上,使用重庆市南岸区的交通检测数据进行仿真分析,结果表明本方法能准确直观地反映出实时交通拥堵状态,具有潜在的实际应用价值.
拥堵状态辨识是道路运行状态评估的重要内容,是交通系统流量调控和管理的重要参考指标.在智能交通系统(Intelligent transport system,ITS)普及化程度越来越高的后交通时代,如何实现海量数据下对多源不确定交通拥堵状态的辨识是非常重要的内容.首先,基于多元集对分析建立一种新的路网交通拥堵状态刻画模型;然后,通过改进证据理论中Dempster组合规则实现交通信息融合,并推导出当前交通拥堵状态的准确表达值;最后,在数值模拟的基础上,使用重庆市南岸区的交通检测数据进行仿真分析,结果表明本方法能准确直观地反映出实时交通拥堵状态,具有潜在的实际应用价值.
2018, 44(3): 545-551.
doi: 10.16383/j.aas.2018.c160500
cstr: 32138.14.j.aas.2018.c160500
摘要:
针对具有执行器故障和未知扰动的线性广义系统,提出一种新的故障估计器设计方法.所设计的故障估计器具有非奇异结构,便于实现.在故障频域范围有限的条件下,为了抑制未知扰动和有限频域故障对故障估计误差的影响,基于广义Kalman-Yakubovich-Popov(KYP)引理给出了故障估计器的鲁棒性设计条件,并将其转化为方便求解的线性矩阵不等式形式.最后,通过一个电路系统的仿真算例验证了所提出方法的有效性.
针对具有执行器故障和未知扰动的线性广义系统,提出一种新的故障估计器设计方法.所设计的故障估计器具有非奇异结构,便于实现.在故障频域范围有限的条件下,为了抑制未知扰动和有限频域故障对故障估计误差的影响,基于广义Kalman-Yakubovich-Popov(KYP)引理给出了故障估计器的鲁棒性设计条件,并将其转化为方便求解的线性矩阵不等式形式.最后,通过一个电路系统的仿真算例验证了所提出方法的有效性.
2018, 44(3): 552-561.
doi: 10.16383/j.aas.2018.c160840
cstr: 32138.14.j.aas.2018.c160840
摘要:
高炉(Blast furnace,BF)炼铁中,十字测温作为炉顶温度和煤气流分布监测的最主要手段,对高炉的安全、稳定和高效运行起着重要作用.然而,由于高炉炉顶中心部位温度较高,造成十字测温装置中心位置传感器极易损坏,并且更换周期长,因而无法及时判断炉顶煤气流分布.针对这一实际工程问题,本文基于时间序列建模思想,集成采用多输出自回归移动平均(Multi-output autoregressive moving average,M-ARMAX)建模、因子分析、Pearson相关分析、基于赤池信息准则(Akaike information criterion,AIC)与模型拟合优度联合定阶等混合技术,提出一种模型结构简单、精度较高且易于工程实现的十字测温中心温度在线估计方法.首先,提出利用因子分析与Pearson相关分析相结合的稳健特征选择方法选取多输出建模输入变量.然后,采用样本均值消去法预处理采集的高炉样本数据,使其成为离散随机数.基于离散随机数,建立算法简单、易于工程实现的M-ARMAX温度模型:为了克服传统基于AIC阶数确定造成模型阶次高、结构复杂的问题,提出在AIC准则基础上进一步引入模型拟合优度来选取模型最小阶,可保证模型估计精度的同时降低模型阶次;同时,采用可快速收敛的递推最小二乘算法辨识M-ARMAX模型参数,并用残差分析方法检验模型.工业试验和比较分析表明:建立的M-ARMAX模型能够根据实时数据同时对十字测温装置多个中心温度点进行准确和稳定估计,且模型估计误差符合高斯白噪声特性.
高炉(Blast furnace,BF)炼铁中,十字测温作为炉顶温度和煤气流分布监测的最主要手段,对高炉的安全、稳定和高效运行起着重要作用.然而,由于高炉炉顶中心部位温度较高,造成十字测温装置中心位置传感器极易损坏,并且更换周期长,因而无法及时判断炉顶煤气流分布.针对这一实际工程问题,本文基于时间序列建模思想,集成采用多输出自回归移动平均(Multi-output autoregressive moving average,M-ARMAX)建模、因子分析、Pearson相关分析、基于赤池信息准则(Akaike information criterion,AIC)与模型拟合优度联合定阶等混合技术,提出一种模型结构简单、精度较高且易于工程实现的十字测温中心温度在线估计方法.首先,提出利用因子分析与Pearson相关分析相结合的稳健特征选择方法选取多输出建模输入变量.然后,采用样本均值消去法预处理采集的高炉样本数据,使其成为离散随机数.基于离散随机数,建立算法简单、易于工程实现的M-ARMAX温度模型:为了克服传统基于AIC阶数确定造成模型阶次高、结构复杂的问题,提出在AIC准则基础上进一步引入模型拟合优度来选取模型最小阶,可保证模型估计精度的同时降低模型阶次;同时,采用可快速收敛的递推最小二乘算法辨识M-ARMAX模型参数,并用残差分析方法检验模型.工业试验和比较分析表明:建立的M-ARMAX模型能够根据实时数据同时对十字测温装置多个中心温度点进行准确和稳定估计,且模型估计误差符合高斯白噪声特性.
2018, 44(3): 562-568.
doi: 10.16383/j.aas.2018.c160568
cstr: 32138.14.j.aas.2018.c160568
摘要:
针对非线性不确定惯性串联系统的控制问题,提出了惯性串联型扩张状态观测器(Extended state observer,ESO),使其可直接对惯性串联系统的扩张状态进行估计,同时把被控对象的极点配置到期望位置,在此基础上提出了适合惯性串联系统的自抗扰控制(Active disturbance rejection control,ADRC)方法,该惯性串联型ADRC方法可以充分利用被控对象的已有知识.论文还给出了惯性串联型ADRC和基于扰动观测器(Disturbance observer,DOB)的控制方法之间的联系,指出它们具有相同的三自由度(three-degree of freedom control,3-DOF)控制系统结构和模块功能,都能实现对系统期望模型以外的总扰动进行估计和补偿.仿真结果表明,所提出的方法是有效的,惯性串联型ESO能实现系统总扰动的估计,惯性串联型ADRC能使系统输出能很好地跟踪系统参考输入.
针对非线性不确定惯性串联系统的控制问题,提出了惯性串联型扩张状态观测器(Extended state observer,ESO),使其可直接对惯性串联系统的扩张状态进行估计,同时把被控对象的极点配置到期望位置,在此基础上提出了适合惯性串联系统的自抗扰控制(Active disturbance rejection control,ADRC)方法,该惯性串联型ADRC方法可以充分利用被控对象的已有知识.论文还给出了惯性串联型ADRC和基于扰动观测器(Disturbance observer,DOB)的控制方法之间的联系,指出它们具有相同的三自由度(three-degree of freedom control,3-DOF)控制系统结构和模块功能,都能实现对系统期望模型以外的总扰动进行估计和补偿.仿真结果表明,所提出的方法是有效的,惯性串联型ESO能实现系统总扰动的估计,惯性串联型ADRC能使系统输出能很好地跟踪系统参考输入.
2018, 44(3): 569-576.
doi: 10.16383/j.aas.2018.c160453
cstr: 32138.14.j.aas.2018.c160453
摘要:
负障碍感知是非结构化环境下的难点问题,本文针对该问题提出一种新的基于双多线激光雷达(Light detection and ranging,LiDAR)的感知方法.采用分布嵌入式架构对双激光雷达数据进行同步采集与实时处理,将雷达点云映射到多尺度栅格,统计栅格的点云密度与相对高度等特征并标记,从点云数据提取负障碍几何特征,通过将栅格的统计特征与负障碍的几何特征做多特征关联找到关键特征点对,将特征点对聚类并过滤,识别出负障碍.方法不受地面平整度影响,已成功应用在无人驾驶车上.使用表明该方法具有较高的实时性和可靠性,在非结构化环境下具有良好的感知效果.
负障碍感知是非结构化环境下的难点问题,本文针对该问题提出一种新的基于双多线激光雷达(Light detection and ranging,LiDAR)的感知方法.采用分布嵌入式架构对双激光雷达数据进行同步采集与实时处理,将雷达点云映射到多尺度栅格,统计栅格的点云密度与相对高度等特征并标记,从点云数据提取负障碍几何特征,通过将栅格的统计特征与负障碍的几何特征做多特征关联找到关键特征点对,将特征点对聚类并过滤,识别出负障碍.方法不受地面平整度影响,已成功应用在无人驾驶车上.使用表明该方法具有较高的实时性和可靠性,在非结构化环境下具有良好的感知效果.