2017年 第43卷 第12期
2017, 43(12): 2061-2070.
doi: 10.16383/j.aas.2017.y000006
cstr: 32138.14.j.aas.2017.y000006
摘要:
本文旨在讨论智联网(Internet of minds,IoM)的基本概念,核心问题和关键平台技术.首先阐述智联网概念的智能时代发展需求和科学哲学思想基础,然后阐述智联网技术的背景、定义、实质,及其实现协同认知智能的目标,并举例说明其前沿应用领域,包括物理信息社会系统、软件定义系统及流程、工业智联网.接下来探讨智联网的核心问题:知识的获取、知识的协同表征和传递、以及知识的关联和协同运行.最后简单描述了智联网的关键平台技术,包括虚实平行的平台体系和基于互联网、物联网、区块链和软件定义网络的社会化通信计算平台,为分布式、自组织、自运行的安全智联网系统提供基础设施.
本文旨在讨论智联网(Internet of minds,IoM)的基本概念,核心问题和关键平台技术.首先阐述智联网概念的智能时代发展需求和科学哲学思想基础,然后阐述智联网技术的背景、定义、实质,及其实现协同认知智能的目标,并举例说明其前沿应用领域,包括物理信息社会系统、软件定义系统及流程、工业智联网.接下来探讨智联网的核心问题:知识的获取、知识的协同表征和传递、以及知识的关联和协同运行.最后简单描述了智联网的关键平台技术,包括虚实平行的平台体系和基于互联网、物联网、区块链和软件定义网络的社会化通信计算平台,为分布式、自组织、自运行的安全智联网系统提供基础设施.
2017, 43(12): 2071-2090.
doi: 10.16383/j.aas.2017.c160850
cstr: 32138.14.j.aas.2017.c160850
摘要:
肺部CT图像病变区域检测是肺病辅助诊断技术的重要研究内容,其通过自动分析CT图像并输出病变区域的位置和尺寸等信息,帮助放射科医生做出决策,有利于肺病的早期发现与治疗.本文回顾了肺部CT图像中病变区域自动检测方法所取得的进步,并引入一个通用框架表示和描述现有方法,对2012年以来肺部病变区域辅助检测算法进行了系统性分析和性能汇总.最后讨论了目前存在的问题和有待克服的困难,探讨了未来可能的发展方向.
肺部CT图像病变区域检测是肺病辅助诊断技术的重要研究内容,其通过自动分析CT图像并输出病变区域的位置和尺寸等信息,帮助放射科医生做出决策,有利于肺病的早期发现与治疗.本文回顾了肺部CT图像中病变区域自动检测方法所取得的进步,并引入一个通用框架表示和描述现有方法,对2012年以来肺部病变区域辅助检测算法进行了系统性分析和性能汇总.最后讨论了目前存在的问题和有待克服的困难,探讨了未来可能的发展方向.
2017, 43(12): 2091-2099.
doi: 10.16383/j.aas.2017.c160471
cstr: 32138.14.j.aas.2017.c160471
摘要:
对具有未知输入的离散切换系统讨论了未知输入观测器(Unknown input observer,UIO)设计方法.首先,对一般离散系统的未知输入观测器匹配条件的Lyapunov-type表示,进行了等价性论证;然后,基于不具有未知输入的离散切换系统的稳定性理论,对具有未知输入的离散切换系统提出了一种切换降维观测器设计方法.通过矩阵分块确定出的观测器增益矩阵,使得降维观测器能直接消去未知输入的影响;然后,在此基础上提出了一种未知输入代数重构方法;最后,通过仿真验证了方法的有效性和正确性.
对具有未知输入的离散切换系统讨论了未知输入观测器(Unknown input observer,UIO)设计方法.首先,对一般离散系统的未知输入观测器匹配条件的Lyapunov-type表示,进行了等价性论证;然后,基于不具有未知输入的离散切换系统的稳定性理论,对具有未知输入的离散切换系统提出了一种切换降维观测器设计方法.通过矩阵分块确定出的观测器增益矩阵,使得降维观测器能直接消去未知输入的影响;然后,在此基础上提出了一种未知输入代数重构方法;最后,通过仿真验证了方法的有效性和正确性.
2017, 43(12): 2100-2108.
doi: 10.16383/j.aas.2017.c160430
cstr: 32138.14.j.aas.2017.c160430
摘要:
由于在实际应用中目标模型不一定满足隐马尔科夫模型(Hidden Markov model,HMM)隐含的马尔科夫假设和独立性假设条件,一种更为一般化的Pairwise马尔科夫模型(Pairwise Markov model,PMM)被提出.它放宽了HMM的结构性限制,可以有效地处理更为复杂的目标跟踪场景.本文针对杂波环境下的多目标跟踪问题,提出一种在PMM框架下的势均衡多目标多伯努利(Cardinality balanced multi-target multi-Bernoulli,CBMeMBer)滤波器,并给出它在线性高斯PMM条件下的高斯混合(Gaussian mixture,GM)实现.最后,采用一种满足HMM局部物理特性的线性高斯PMM,将本文所提算法与概率假设密度(Probability hypothesis density,PHD)滤波器进行比较.实验结果表明本文所提算法的跟踪性能优于PHD滤波器.
由于在实际应用中目标模型不一定满足隐马尔科夫模型(Hidden Markov model,HMM)隐含的马尔科夫假设和独立性假设条件,一种更为一般化的Pairwise马尔科夫模型(Pairwise Markov model,PMM)被提出.它放宽了HMM的结构性限制,可以有效地处理更为复杂的目标跟踪场景.本文针对杂波环境下的多目标跟踪问题,提出一种在PMM框架下的势均衡多目标多伯努利(Cardinality balanced multi-target multi-Bernoulli,CBMeMBer)滤波器,并给出它在线性高斯PMM条件下的高斯混合(Gaussian mixture,GM)实现.最后,采用一种满足HMM局部物理特性的线性高斯PMM,将本文所提算法与概率假设密度(Probability hypothesis density,PHD)滤波器进行比较.实验结果表明本文所提算法的跟踪性能优于PHD滤波器.
2017, 43(12): 2109-2114.
doi: 10.16383/j.aas.2017.c160264
cstr: 32138.14.j.aas.2017.c160264
摘要:
肺癌是世界范围内致死率最高的癌症之一,肺肿瘤的良恶性诊断对于治疗方式选择意义重大.本文借助影像组学(Radiomics)方法利用LIDC(Lung imaging database consortium)肺癌公开数据库中619例病人的肺癌计算机断层(Computed tomography,CT)影像数据,分割出病变区域,并结合肿瘤医学特性和临床认知,提取反映肿瘤形状大小、强度和纹理特性的60个定量影像特征,然后利用支持向量机(Support vector machine,SVM)构建诊断肺肿瘤良恶性的预测模型,筛选出对诊断肺肿瘤良恶性有价值的20个影像组学特征.为肺肿瘤良恶性预测提供了一种非入侵的检测手段.随着CT影像在肺癌临床诊断中的广泛使用,应用样本量的不断增加,本文方法有望成为一种辅助诊断工具,有效提高临床肺肿瘤良恶性诊断准确率.
肺癌是世界范围内致死率最高的癌症之一,肺肿瘤的良恶性诊断对于治疗方式选择意义重大.本文借助影像组学(Radiomics)方法利用LIDC(Lung imaging database consortium)肺癌公开数据库中619例病人的肺癌计算机断层(Computed tomography,CT)影像数据,分割出病变区域,并结合肿瘤医学特性和临床认知,提取反映肿瘤形状大小、强度和纹理特性的60个定量影像特征,然后利用支持向量机(Support vector machine,SVM)构建诊断肺肿瘤良恶性的预测模型,筛选出对诊断肺肿瘤良恶性有价值的20个影像组学特征.为肺肿瘤良恶性预测提供了一种非入侵的检测手段.随着CT影像在肺癌临床诊断中的广泛使用,应用样本量的不断增加,本文方法有望成为一种辅助诊断工具,有效提高临床肺肿瘤良恶性诊断准确率.
2017, 43(12): 2115-2126.
doi: 10.16383/j.aas.2017.c160621
cstr: 32138.14.j.aas.2017.c160621
摘要:
高炉料面图像含有丰富的高炉炉况信息,高炉料面轮廓能直接反映料面的凹凸起伏、煤气流分布以及炉况等信息,但高炉料面图像具有对比度低、细节不明显和有强亮斑等特点,使得高炉料面轮廓检测十分困难.本文提出一种新型的高炉料面轮廓检测方法:1)对高炉料面图像进行预处理,增强图像动态范围和图像边缘信息;2)采用分数阶的多向微分算子提取一组料面轮廓可行域;3)用自适应方法确定最佳分数阶阶次,获得可行域中最优的料面轮廓曲线;4)用改进的Canny算子对其进行修正和补偿,得到连续准确的料面轮廓曲线.理论研究和实验结果表明,该方法可准确获取平滑的高炉料面轮廓,对高炉操作人员及时有效调控布料具有很好的参考价值.
高炉料面图像含有丰富的高炉炉况信息,高炉料面轮廓能直接反映料面的凹凸起伏、煤气流分布以及炉况等信息,但高炉料面图像具有对比度低、细节不明显和有强亮斑等特点,使得高炉料面轮廓检测十分困难.本文提出一种新型的高炉料面轮廓检测方法:1)对高炉料面图像进行预处理,增强图像动态范围和图像边缘信息;2)采用分数阶的多向微分算子提取一组料面轮廓可行域;3)用自适应方法确定最佳分数阶阶次,获得可行域中最优的料面轮廓曲线;4)用改进的Canny算子对其进行修正和补偿,得到连续准确的料面轮廓曲线.理论研究和实验结果表明,该方法可准确获取平滑的高炉料面轮廓,对高炉操作人员及时有效调控布料具有很好的参考价值.
2017, 43(12): 2127-2140.
doi: 10.16383/j.aas.2017.c160725
cstr: 32138.14.j.aas.2017.c160725
摘要:
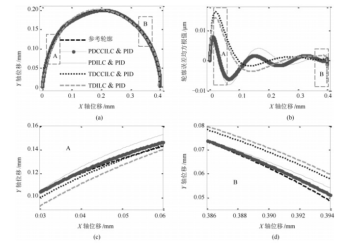
针对多轴运动系统非线性轮廓的重复跟踪,传统时域交叉耦合迭代学习控制器(Cross-coupled iterative learning control,CCILC)的设计,各轴间的耦合算子计算精度要求高,计算效率低.本文提出一种主从交叉耦合迭代学习控制方法.基于主从控制设计方法,主动轴采用时域CCILC,从动轴采用位置域交叉耦合迭代学习控制(Position domain CCILC,PDCCILC).保证各轴间运动同步性,同时减轻对耦合算子精确性的依赖.因而可以引入轮廓误差矢量法估算耦合算子提高计算效率.采用Lifting的系统时域矩阵展开方法对所提出的算法进行了稳定性分析和性能分析.基于一个两轴毫米级运动平台,三种典型非线性轮廓跟踪(即半圆、抛物线和螺旋线)的数值仿真和实验分析验证了所提出算法的有效性.
针对多轴运动系统非线性轮廓的重复跟踪,传统时域交叉耦合迭代学习控制器(Cross-coupled iterative learning control,CCILC)的设计,各轴间的耦合算子计算精度要求高,计算效率低.本文提出一种主从交叉耦合迭代学习控制方法.基于主从控制设计方法,主动轴采用时域CCILC,从动轴采用位置域交叉耦合迭代学习控制(Position domain CCILC,PDCCILC).保证各轴间运动同步性,同时减轻对耦合算子精确性的依赖.因而可以引入轮廓误差矢量法估算耦合算子提高计算效率.采用Lifting的系统时域矩阵展开方法对所提出的算法进行了稳定性分析和性能分析.基于一个两轴毫米级运动平台,三种典型非线性轮廓跟踪(即半圆、抛物线和螺旋线)的数值仿真和实验分析验证了所提出算法的有效性.
2017, 43(12): 2141-2159.
doi: 10.16383/j.aas.2017.c160653
cstr: 32138.14.j.aas.2017.c160653
摘要:
对高光谱图像解混的目的在于从低空间分辨率的高光谱图像中找到端元与对应的丰度.本文根据解混算法中的最小体积准则,提出了一种自适应鲁棒最小体积高光谱解混算法(Robust minimum volume based algorithm with automatically estimating regularization parameters for hyperspectral unmixing,RMVHU).本算法通过引入负数惩罚正则项,替换了同类算法中的丰度非负性约束(Non-negativity constraint,ANC),使算法对图像中的噪声与异常值具有更强的鲁棒性;采用循环最小化方法,将非凸优化问题分解为凸优化子问题,然后应用交替方向乘子法解决随着像素点个数增大带来的求解困难问题;对于正则项系数,本算法提出了一种自适应调整策略,提高了算法的收敛性,并且通过定性分析,说明了该调整方法的合理性.将算法应用于合成数据与实际数据,实验结果表明,与同类算法相比,本文提出的算法能够取得更为优秀的效果.
对高光谱图像解混的目的在于从低空间分辨率的高光谱图像中找到端元与对应的丰度.本文根据解混算法中的最小体积准则,提出了一种自适应鲁棒最小体积高光谱解混算法(Robust minimum volume based algorithm with automatically estimating regularization parameters for hyperspectral unmixing,RMVHU).本算法通过引入负数惩罚正则项,替换了同类算法中的丰度非负性约束(Non-negativity constraint,ANC),使算法对图像中的噪声与异常值具有更强的鲁棒性;采用循环最小化方法,将非凸优化问题分解为凸优化子问题,然后应用交替方向乘子法解决随着像素点个数增大带来的求解困难问题;对于正则项系数,本算法提出了一种自适应调整策略,提高了算法的收敛性,并且通过定性分析,说明了该调整方法的合理性.将算法应用于合成数据与实际数据,实验结果表明,与同类算法相比,本文提出的算法能够取得更为优秀的效果.
2017, 43(12): 2160-2169.
doi: 10.16383/j.aas.2017.c160505
cstr: 32138.14.j.aas.2017.c160505
摘要:
竖炉焙烧过程因运行条件异常变化或操作不当会造成上火、冒火、过还原和欠还原等运行故障.这些故障直接影响过程运行安全和产品质量(比如,磁选管回收率),但难以采用基于模型和基于知识的方法建模故障与产品质量的关系,以及诊断故障变量.针对上述问题,本文提出数据驱动的基于并发潜结构映射(Concurrent projection to latent structures,CPLS)的竖炉焙烧过程综合故障诊断方法.首先,将并发潜结构映射分解的过程变量共有子空间与残差空间精简合并来建立磁选管回收率相关的过程变化空间,提出基于精简并发潜结构映射模型的竖炉焙烧过程综合监控方法;接下来,定义相应的重构贡献图并与竖炉焙烧过程相结合,提出CPLS精简重构贡献方法用于竖炉焙烧过程故障变量诊断;最后,利用竖炉焙烧过程半实物仿真平台采集的数据进行实验研究,结果表明所提方法不仅可以诊断出质量相关的故障,而且可诊断出回路设定值之外的故障变量.
竖炉焙烧过程因运行条件异常变化或操作不当会造成上火、冒火、过还原和欠还原等运行故障.这些故障直接影响过程运行安全和产品质量(比如,磁选管回收率),但难以采用基于模型和基于知识的方法建模故障与产品质量的关系,以及诊断故障变量.针对上述问题,本文提出数据驱动的基于并发潜结构映射(Concurrent projection to latent structures,CPLS)的竖炉焙烧过程综合故障诊断方法.首先,将并发潜结构映射分解的过程变量共有子空间与残差空间精简合并来建立磁选管回收率相关的过程变化空间,提出基于精简并发潜结构映射模型的竖炉焙烧过程综合监控方法;接下来,定义相应的重构贡献图并与竖炉焙烧过程相结合,提出CPLS精简重构贡献方法用于竖炉焙烧过程故障变量诊断;最后,利用竖炉焙烧过程半实物仿真平台采集的数据进行实验研究,结果表明所提方法不仅可以诊断出质量相关的故障,而且可诊断出回路设定值之外的故障变量.
2017, 43(12): 2170-2177.
doi: 10.16383/j.aas.2017.c160289
cstr: 32138.14.j.aas.2017.c160289
摘要:
大视场和高时间采样率是现代天文光学瞬变源巡天项目的两个主要发展方向,相对传统的巡天项目将会产生更大的数据量和要求更快的瞬变源识别处理速度.为满足新技术下的瞬变源识别处理要求,本文提出用基于等光度测量星像轮廓等13个新的特征参量取代原有的轮廓拟合参量;使用实际星像轮廓仿真和构建较真实的训练样本算法;加入基于实测数据分析的噪声过滤判据等方法.实现了基于随机林森算法的天文光学瞬变源自动快速识别系统.通过仿真和实测数据的测试表明:本识别系统较国际主流的同类识别算法提速约10倍,样本识别的总体正确检出率和错误检出率都基本相同,而在低信噪比处,本文的识别算法有较良好的表现.本识别系统已成功应用于我国的迷你地基广角相机阵(地基广角相机阵的先导项目),同时,本系统对于其他天文光学瞬变源巡天项目也有着重要的应用价值.
大视场和高时间采样率是现代天文光学瞬变源巡天项目的两个主要发展方向,相对传统的巡天项目将会产生更大的数据量和要求更快的瞬变源识别处理速度.为满足新技术下的瞬变源识别处理要求,本文提出用基于等光度测量星像轮廓等13个新的特征参量取代原有的轮廓拟合参量;使用实际星像轮廓仿真和构建较真实的训练样本算法;加入基于实测数据分析的噪声过滤判据等方法.实现了基于随机林森算法的天文光学瞬变源自动快速识别系统.通过仿真和实测数据的测试表明:本识别系统较国际主流的同类识别算法提速约10倍,样本识别的总体正确检出率和错误检出率都基本相同,而在低信噪比处,本文的识别算法有较良好的表现.本识别系统已成功应用于我国的迷你地基广角相机阵(地基广角相机阵的先导项目),同时,本系统对于其他天文光学瞬变源巡天项目也有着重要的应用价值.
2017, 43(12): 2178-2189.
doi: 10.16383/j.aas.2017.c160334
cstr: 32138.14.j.aas.2017.c160334
摘要:
针对杂波条件下可分辨群目标的状态估计、目标个数与子群个数估计问题,提出了一种基于标签随机有限集(Label random finite set,L-RFS)框架下的可分辨群目标跟踪算法,该算法主要包括两个方面:可分辨多群目标动态建模和多群目标的跟踪估计.本文工作主要包括:1)结合图论中的邻接矩阵对可分辨群目标运动进行动态建模.2)利用基于L-RFS的广义标签多伯努利滤波(Generalizes label multi-Bernoulli,GLMB)算法对目标的状态和个数进行估计,并且通过估计邻接矩阵得到群的结构和个数估计.3)通过个数不同、结构不同的三个子群目标在二维平面分别做线性和非线性运动进行算法验证.仿真分析表明本文算法能够准确估计出群目标中各目标的状态、个数以及子群的个数,并且能获得目标的航迹估计.
针对杂波条件下可分辨群目标的状态估计、目标个数与子群个数估计问题,提出了一种基于标签随机有限集(Label random finite set,L-RFS)框架下的可分辨群目标跟踪算法,该算法主要包括两个方面:可分辨多群目标动态建模和多群目标的跟踪估计.本文工作主要包括:1)结合图论中的邻接矩阵对可分辨群目标运动进行动态建模.2)利用基于L-RFS的广义标签多伯努利滤波(Generalizes label multi-Bernoulli,GLMB)算法对目标的状态和个数进行估计,并且通过估计邻接矩阵得到群的结构和个数估计.3)通过个数不同、结构不同的三个子群目标在二维平面分别做线性和非线性运动进行算法验证.仿真分析表明本文算法能够准确估计出群目标中各目标的状态、个数以及子群的个数,并且能获得目标的航迹估计.
2017, 43(12): 2190-2201.
doi: 10.16383/j.aas.2017.c160376
cstr: 32138.14.j.aas.2017.c160376
摘要:
为保证遥感视频序列的高质量重构,本文结合视频序列的高时空冗余特点,在基于块的分布式视频压缩感知(Distributed video compressed sensing,DVCS)框架的基础上提出了一种基于自适应采样的多假设预测残差重构模型及基于变采样率的多假设预测残差重构算法.首先对目标帧进行预测,根据各块预测精度的不同自适应地分配采样率;然后用变采样率多假设预测残差重构算法重构出目标帧;最后利用双向运动估计对重构结果进行修正.仿真结果表明该算法能够在降低采样率的同时保证良好的主客观重构质量;相同采样率条件下,重构精度比MC-BCS-SPL算法提高大约7dB,比MH-BCS-SPL算法提高大约1dB.
为保证遥感视频序列的高质量重构,本文结合视频序列的高时空冗余特点,在基于块的分布式视频压缩感知(Distributed video compressed sensing,DVCS)框架的基础上提出了一种基于自适应采样的多假设预测残差重构模型及基于变采样率的多假设预测残差重构算法.首先对目标帧进行预测,根据各块预测精度的不同自适应地分配采样率;然后用变采样率多假设预测残差重构算法重构出目标帧;最后利用双向运动估计对重构结果进行修正.仿真结果表明该算法能够在降低采样率的同时保证良好的主客观重构质量;相同采样率条件下,重构精度比MC-BCS-SPL算法提高大约7dB,比MH-BCS-SPL算法提高大约1dB.
2017, 43(12): 2202-2212.
doi: 10.16383/j.aas.2017.c160406
cstr: 32138.14.j.aas.2017.c160406
摘要:
城市道路不同时刻的车流量变化很大,建立与车流量变化相适应的红绿灯动态配时模型有利于缓解交通拥堵,减少出行者的等待时间.本文通过综合时变论域、平行控制理论、语言动力系统(Linguistic dynamic system,LDS),提出了一种新的红绿灯控制方法.该方法以红绿灯不同时刻周期时长所形成的序列为时变论域,由各相位的排队长度确定对应的通行序列与时长,得到时变论域下红绿灯配时方案.该方案形成一个由实时车流数据驱动的动态模糊规则库来对红绿灯配时周期及相位通行序列与时长进行动态调整,进而形成红绿灯配时演化过程的语言动力学轨迹,最后通过实例验证该方案的有效性.
城市道路不同时刻的车流量变化很大,建立与车流量变化相适应的红绿灯动态配时模型有利于缓解交通拥堵,减少出行者的等待时间.本文通过综合时变论域、平行控制理论、语言动力系统(Linguistic dynamic system,LDS),提出了一种新的红绿灯控制方法.该方法以红绿灯不同时刻周期时长所形成的序列为时变论域,由各相位的排队长度确定对应的通行序列与时长,得到时变论域下红绿灯配时方案.该方案形成一个由实时车流数据驱动的动态模糊规则库来对红绿灯配时周期及相位通行序列与时长进行动态调整,进而形成红绿灯配时演化过程的语言动力学轨迹,最后通过实例验证该方案的有效性.
2017, 43(12): 2213-2224.
doi: 10.16383/j.aas.2017.c160367
cstr: 32138.14.j.aas.2017.c160367
摘要:
图像的非刚性配准在计算机视觉和医学图像分析中有着重要的作用.TV-L1(全变分L1范数、Total variation-L1)光流模型是解决非刚性配准问题的有效方法,但TV-L1光流模型的正则项是一阶导数,会导致纹理特征等具有弱导数性质的信息模糊.针对该问题,将G-L(Grünwald-Letnikov)分数阶引入TV-L1光流模型,提出基于G-L分数阶微分的TV-L1光流模型,并应用原始-对偶算法求解该模型.新的模型用G-L分数阶微分代替正则项中的一阶导数,由于分数阶微分比整数阶微分具有更好的细节描述能力,并能有效地、非线性地保留具有弱导数性质的纹理特征,从而提高图像的配准精度.另外,通过实验给出了配准精度与G-L分数阶模板参数之间的关系,从而为模板最佳参数的选取提供了依据.尽管不同类型的图像其最佳参数是不同的,但是其最佳配准阶次一般在1 ~2之间.理论分析和实验结果均表明,提出的新模型能够有效地提高图像配准的精度,适合于包含较多弱纹理和弱边缘信息的医学图像配准,该模型是TV-L1光流模型的重要延伸和推广.
图像的非刚性配准在计算机视觉和医学图像分析中有着重要的作用.TV-L1(全变分L1范数、Total variation-L1)光流模型是解决非刚性配准问题的有效方法,但TV-L1光流模型的正则项是一阶导数,会导致纹理特征等具有弱导数性质的信息模糊.针对该问题,将G-L(Grünwald-Letnikov)分数阶引入TV-L1光流模型,提出基于G-L分数阶微分的TV-L1光流模型,并应用原始-对偶算法求解该模型.新的模型用G-L分数阶微分代替正则项中的一阶导数,由于分数阶微分比整数阶微分具有更好的细节描述能力,并能有效地、非线性地保留具有弱导数性质的纹理特征,从而提高图像的配准精度.另外,通过实验给出了配准精度与G-L分数阶模板参数之间的关系,从而为模板最佳参数的选取提供了依据.尽管不同类型的图像其最佳参数是不同的,但是其最佳配准阶次一般在1 ~2之间.理论分析和实验结果均表明,提出的新模型能够有效地提高图像配准的精度,适合于包含较多弱纹理和弱边缘信息的医学图像配准,该模型是TV-L1光流模型的重要延伸和推广.
2017, 43(12): 2225-2231.
doi: 10.16383/j.aas.2017.c160162
cstr: 32138.14.j.aas.2017.c160162
摘要:
频率合成源是射频发生和频谱分析中最重要的组成之一,评价合成源性能指标的是输出信号的相位噪声、杂散、频率分辨率和频率切换时间.本文通过分析传统锁相环原理,提出一种通用的超低相位噪声合成源设计方案(带宽100MHz以内).在锁相环基础上,通过引入直接数字合成(Direct digital synthesizer,DDS)混频鉴相技术,使得到的射频信号理论值达到0.1mHz的频率分辨率,同时将带内相位噪声指标优化17dB以上.新方案同时兼顾了杂散和频率切换时间指标,保障合成源的输出信号稳定可靠,使其在自动测试领域拥有广阔的应用前景.
频率合成源是射频发生和频谱分析中最重要的组成之一,评价合成源性能指标的是输出信号的相位噪声、杂散、频率分辨率和频率切换时间.本文通过分析传统锁相环原理,提出一种通用的超低相位噪声合成源设计方案(带宽100MHz以内).在锁相环基础上,通过引入直接数字合成(Direct digital synthesizer,DDS)混频鉴相技术,使得到的射频信号理论值达到0.1mHz的频率分辨率,同时将带内相位噪声指标优化17dB以上.新方案同时兼顾了杂散和频率切换时间指标,保障合成源的输出信号稳定可靠,使其在自动测试领域拥有广阔的应用前景.
2017, 43(12): 2232-2243.
doi: 10.16383/j.aas.2017.y000007
cstr: 32138.14.j.aas.2017.y000007
摘要:
本文以《自动化学报》2011-2016年发表的文献数据为依据,以定量与定性相结合的方式探索研究自动化学科领域研究动态.首先,从发文量、影响因子、被引情况、下载量等指标角度对该刊过去6年的发展情况进行统计分析;随后,通过对关键词、论文作者与发文机构的数据挖掘,获取并呈现自动化学科热点研究领域、核心科研人员与机构;最后,构建作者合著网络,并对核心子网络的指标属性进行深入解析,刻画科研人员及机构间的合作关系.研究结果可为自动化领域科技工作者及关注自动化学科发展的人士了解学科动态,加强学术交流,以及促进群体合作提供一定的参考.
本文以《自动化学报》2011-2016年发表的文献数据为依据,以定量与定性相结合的方式探索研究自动化学科领域研究动态.首先,从发文量、影响因子、被引情况、下载量等指标角度对该刊过去6年的发展情况进行统计分析;随后,通过对关键词、论文作者与发文机构的数据挖掘,获取并呈现自动化学科热点研究领域、核心科研人员与机构;最后,构建作者合著网络,并对核心子网络的指标属性进行深入解析,刻画科研人员及机构间的合作关系.研究结果可为自动化领域科技工作者及关注自动化学科发展的人士了解学科动态,加强学术交流,以及促进群体合作提供一定的参考.
Stability Analysis for Memristive Recurrent Neural Network and Its Application to Associative Memory
2017, 43(12): 2244-2252.
doi: 10.16383/j.aas.2017.e170103
cstr: 32138.14.j.aas.2017.e170103
摘要:
Memristor is a nonlinear resistor with variable resistance. This paper discusses dynamic properties of memristor and recurrent neural network (RNN) with memristors as connection weights. Firstly, it establishes that there exists a threshold voltage for memristor. Secondly, it presents a model for memristive recurrent neural network (MRNN) which has variable and bounded coe-cients, and analyzes stability of memristive neural network by some maths tools. Thirdly, it gives a synthesis algorithm for associative memory based on memristive recurrent neural network. At last, three examples verify our results.
Memristor is a nonlinear resistor with variable resistance. This paper discusses dynamic properties of memristor and recurrent neural network (RNN) with memristors as connection weights. Firstly, it establishes that there exists a threshold voltage for memristor. Secondly, it presents a model for memristive recurrent neural network (MRNN) which has variable and bounded coe-cients, and analyzes stability of memristive neural network by some maths tools. Thirdly, it gives a synthesis algorithm for associative memory based on memristive recurrent neural network. At last, three examples verify our results.